Open Access

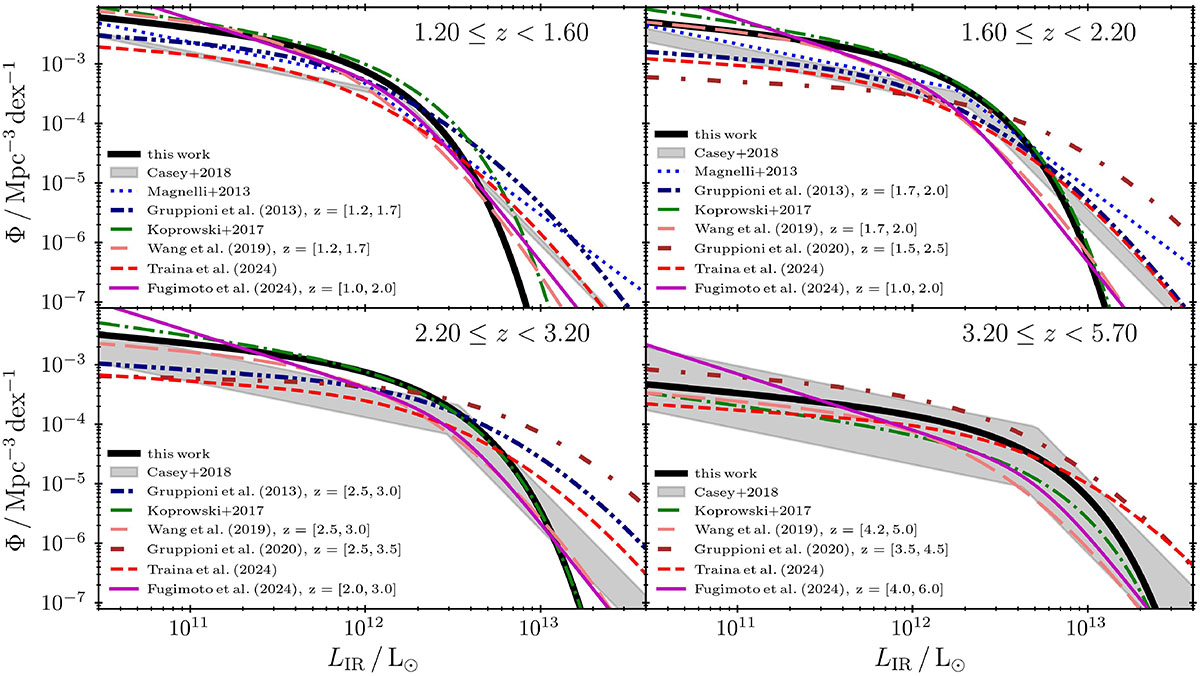
Fig. 6.

image

Download original image

Functional form of the infrared luminosity function found in this work (black solid line). Other IR LFs found in the literature are also shown for comparison (Magnelli et al. 2013; Gruppioni et al. 2013; Koprowski et al. 2017; Wang et al. 2019; Gruppioni et al. 2020; Traina et al. 2024, and Fujimoto et al. 2024). It can be seen that while at the faint end our results seem to be mostly consistent with other works (see Figure 5), the assumed value of the faint-end slope causes the corresponding functions to differ significantly. The shaded region represents the regime bounded at the bottom by the dust-poor models and at the top by the dust-rich models of the early Universe postulated by Casey et al. (2018). (For a detailed discussion, see Section 3.1.3.)

Current usage metrics show cumulative count of Article Views (full-text article views including HTML views, PDF and ePub downloads, according to the available data) and Abstracts Views on Vision4Press platform.

Data correspond to usage on the plateform after 2015. The current usage metrics is available 48-96 hours after online publication and is updated daily on week days.

Initial download of the metrics may take a while.