Open Access

Fig. 3

image

Download original image

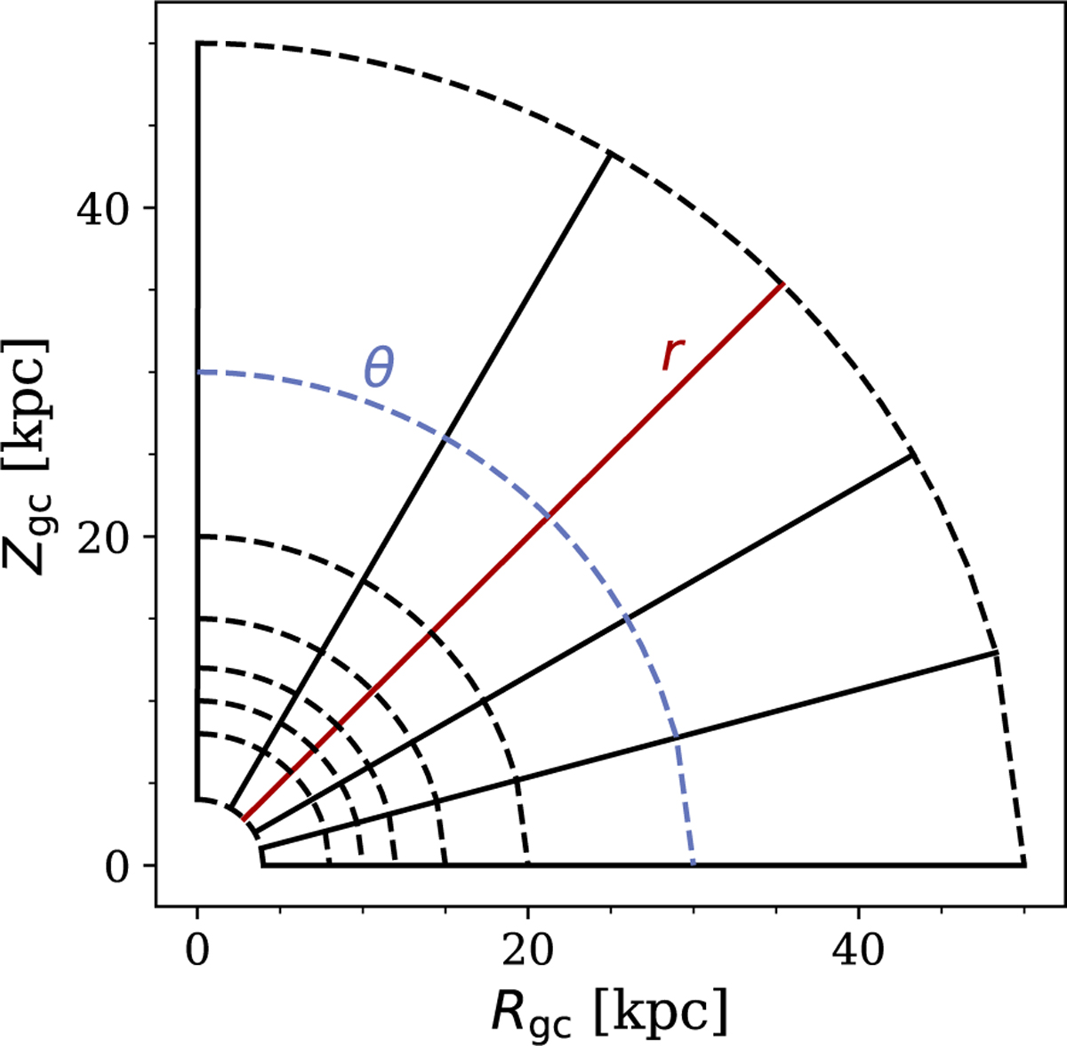
Spatial binning scheme we used for comparing the velocity distributions of the model and data. We divided the model into 7 × 5 spatial bins along r × θ, and calculated the likelihood of stars located within each bin by comparing to the velocity distributions of the model in the corresponding bin.

Current usage metrics show cumulative count of Article Views (full-text article views including HTML views, PDF and ePub downloads, according to the available data) and Abstracts Views on Vision4Press platform.

Data correspond to usage on the plateform after 2015. The current usage metrics is available 48-96 hours after online publication and is updated daily on week days.

Initial download of the metrics may take a while.