Open Access

Fig. 5

image

Download original image

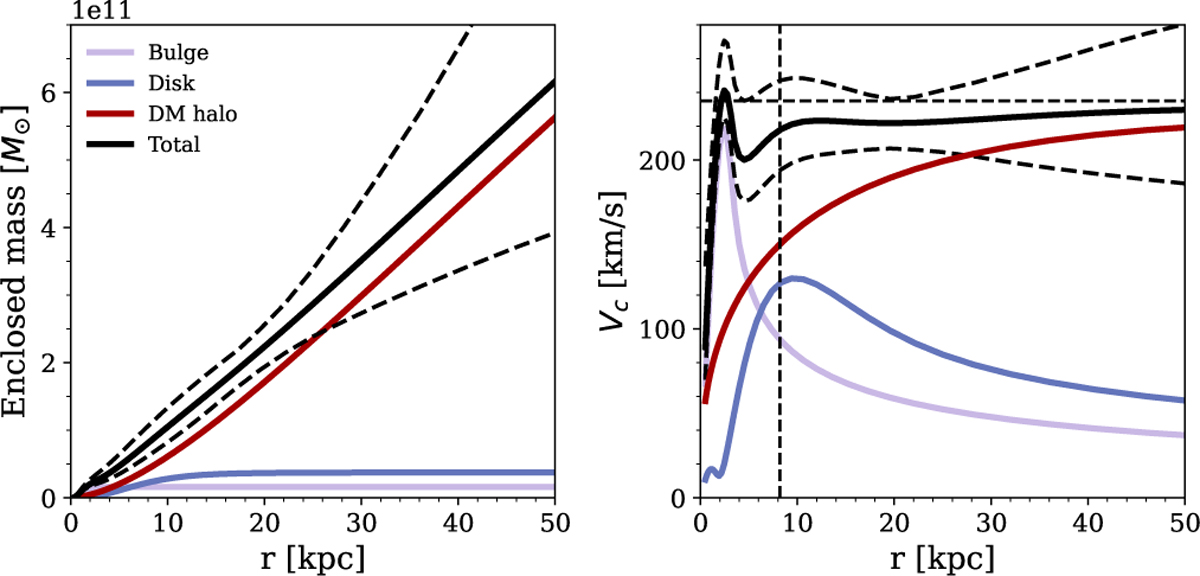
Enclosed mass profiles and rotation curve that we obtained for the Milky Way. The solid line is the average of models within the 1σ confidence level, while the dashed curves are the upper and lower boundary.

Current usage metrics show cumulative count of Article Views (full-text article views including HTML views, PDF and ePub downloads, according to the available data) and Abstracts Views on Vision4Press platform.

Data correspond to usage on the plateform after 2015. The current usage metrics is available 48-96 hours after online publication and is updated daily on week days.

Initial download of the metrics may take a while.