Open Access

Fig. 5.

Fig. 5. Refer to the following caption and surrounding text.

Download original image

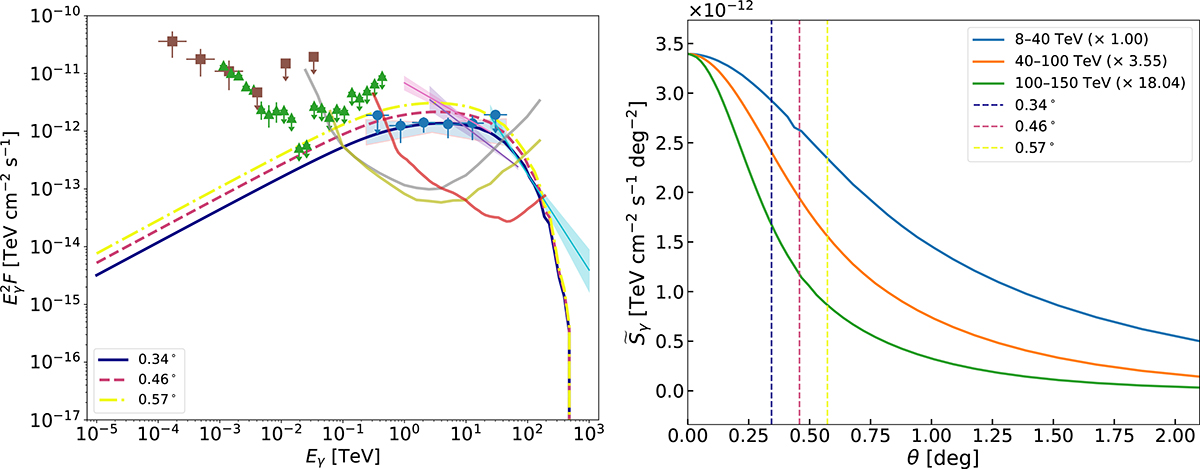
Exploration of the SEDs and SBPs of HESS J1813-126 in the B2D framework. Left: Angle-integrated SEDs, calculated for increasing aperture sizes, together with the same data points, upper limits, butterfly plots, and sensitivity curves as in Fig. 4, using the same color scheme. Right: SBPs for three different energy ranges scaled to start from the same point. Vertical lines correspond to the aperture sizes and follow the same color scheme as in the left panel.

Current usage metrics show cumulative count of Article Views (full-text article views including HTML views, PDF and ePub downloads, according to the available data) and Abstracts Views on Vision4Press platform.

Data correspond to usage on the plateform after 2015. The current usage metrics is available 48-96 hours after online publication and is updated daily on week days.

Initial download of the metrics may take a while.