Open Access

Fig. 5.

image

Download original image

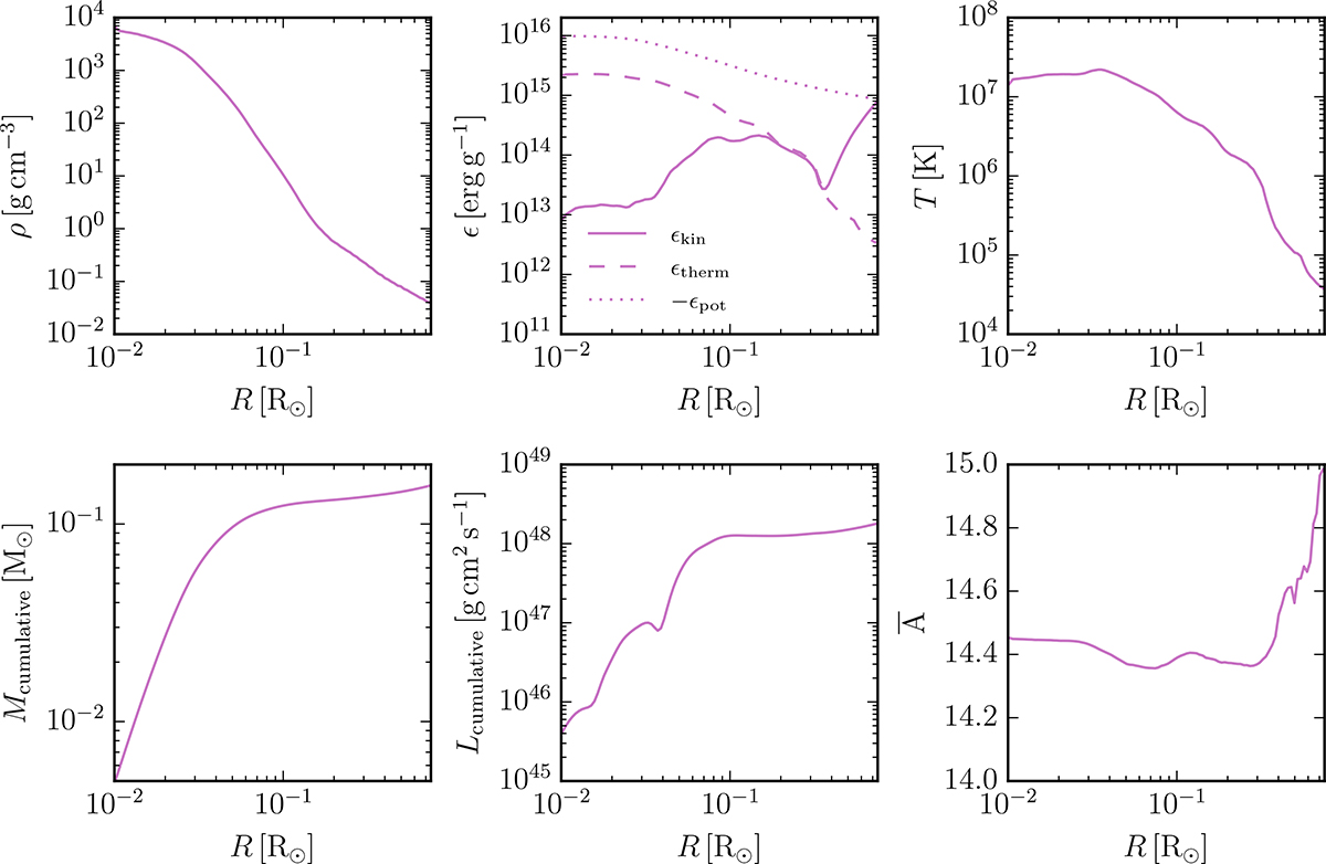
Radial profiles of the bound remnant 1000 s after the explosion. The panels show, from left to right and top to bottom, profiles of density, specific energies, temperature, cumulative mass, cumulative angular momentum, and mean atomic weight. The essentially spherical part of the remnant seen in Fig. 4 extends out to a radius of about 0.04 R. It is essentially non-rotating and contains about half of the bound mass of the remnant. The outer parts are rotating and cold, and they contain a small amount of the heavier elements from the ashes of the explosion.

Current usage metrics show cumulative count of Article Views (full-text article views including HTML views, PDF and ePub downloads, according to the available data) and Abstracts Views on Vision4Press platform.

Data correspond to usage on the plateform after 2015. The current usage metrics is available 48-96 hours after online publication and is updated daily on week days.

Initial download of the metrics may take a while.