Open Access

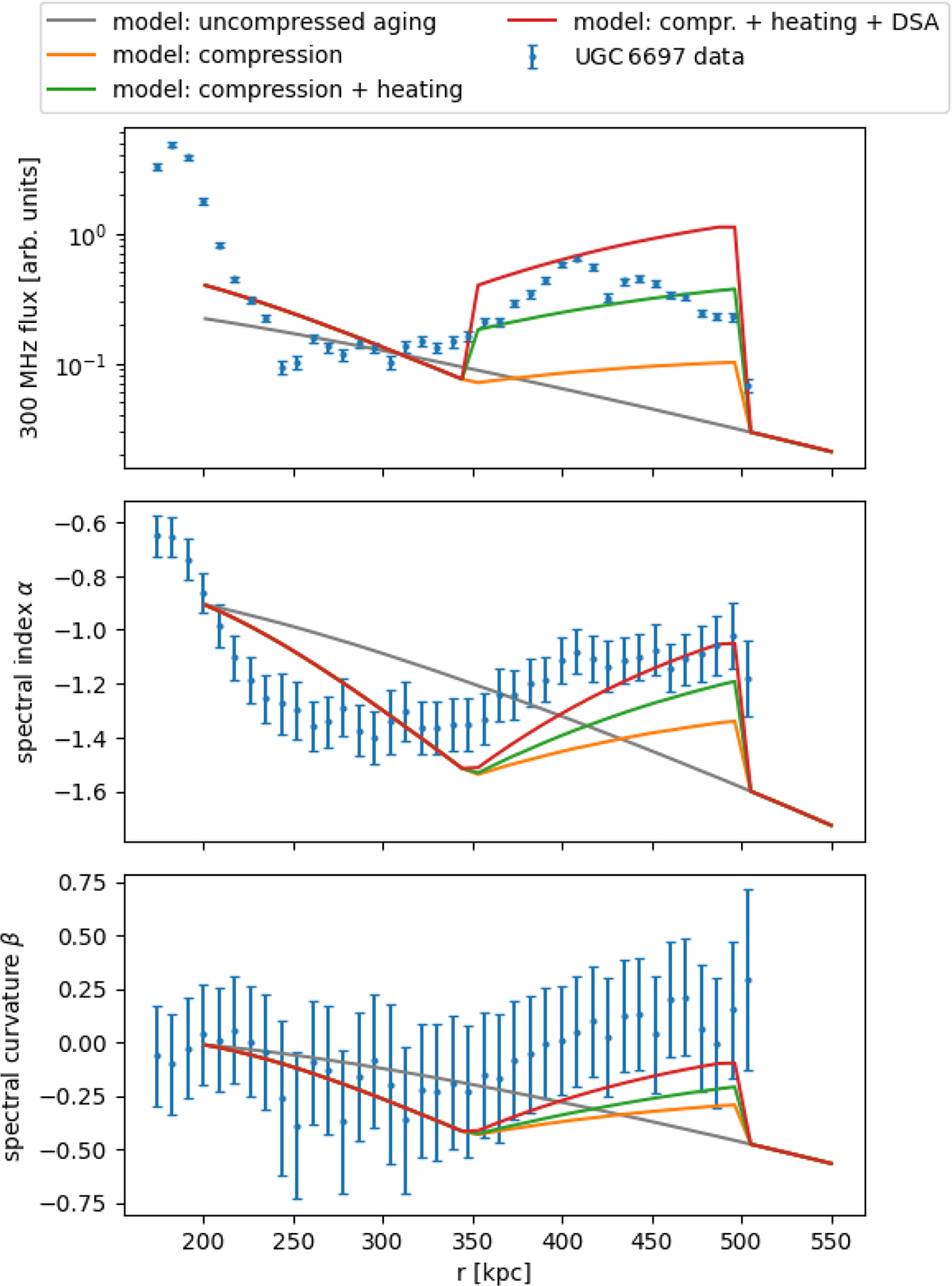
Fig. 10.

image

Download original image

Comparison between the observations and our model assuming aging without compression or acceleration (gray), only magnetic field compression (orange), magnetic field compression and adiabatic heating (green), and magnetic field compression and shock reacceleration (red). The top panel shows the flux density fit at 300 MHz, the center panel the spectral index, and the bottom panel the spectral curvature.

Current usage metrics show cumulative count of Article Views (full-text article views including HTML views, PDF and ePub downloads, according to the available data) and Abstracts Views on Vision4Press platform.

Data correspond to usage on the plateform after 2015. The current usage metrics is available 48-96 hours after online publication and is updated daily on week days.

Initial download of the metrics may take a while.