Open Access

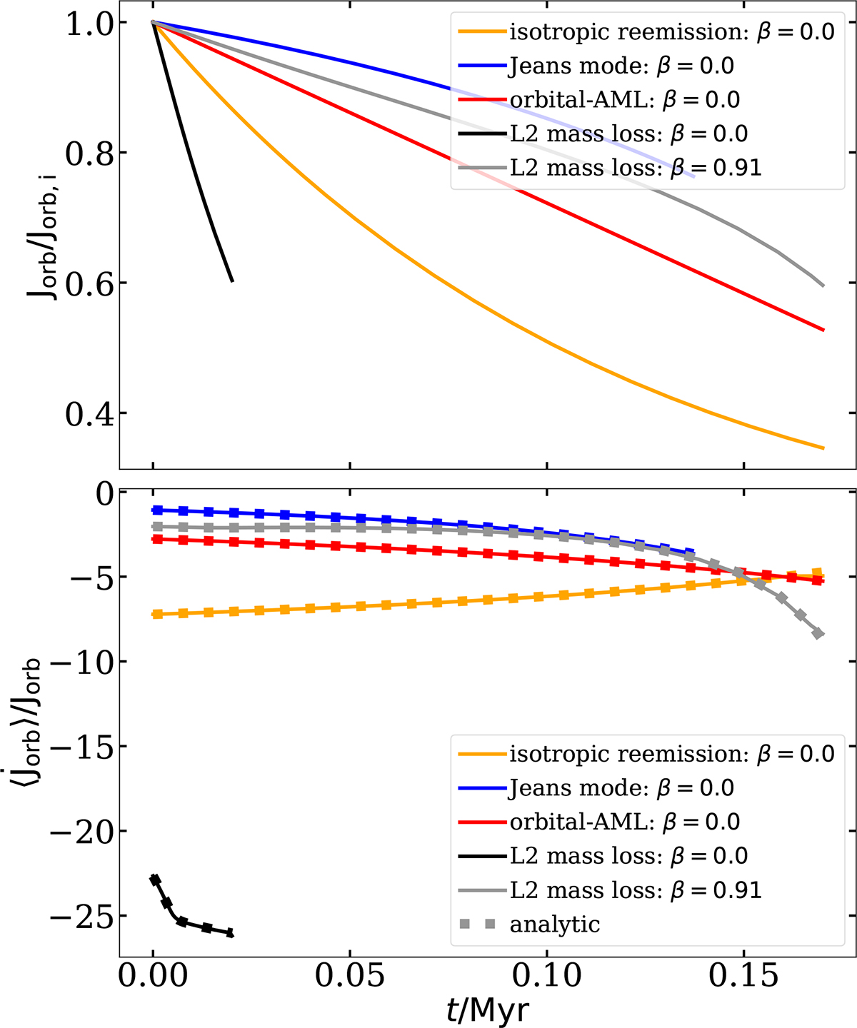
Fig. 12.

image

Download original image

Evolution of the orbital angular momentum (top) and its secular change rate (bottom) for the examples presented in Fig. 10. The solid lines correspond to the numerical solutions, and the square markers to the analytical expectations given by orbit averaging Eq. (1). The AML-parameter is γ = q, 1/q, and 1.0, for isotropic reemission, Jeans, and orbital-AML modes, respectively. For the L2 mass-loss mode, γ is given by Eq. (8).

Current usage metrics show cumulative count of Article Views (full-text article views including HTML views, PDF and ePub downloads, according to the available data) and Abstracts Views on Vision4Press platform.

Data correspond to usage on the plateform after 2015. The current usage metrics is available 48-96 hours after online publication and is updated daily on week days.

Initial download of the metrics may take a while.