Open Access

Fig. C.1.

image

Download original image

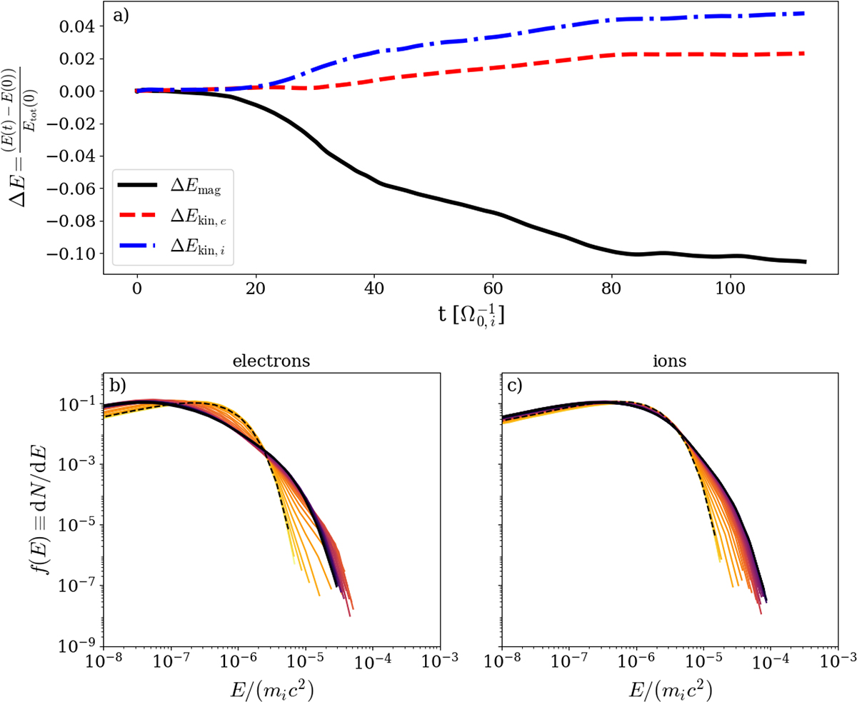
Evolution of different energy quantities throughout the simulation R0 in a), calculated as the energy change ΔE = (E(t)−E(0))/Etot(0), with E the specific energy quantity (magnetic or kinetic) and Etot the total energy within the system. Energy distributions f(E)≡dN/dE are shown for electrons (b)) and ions (c)) at different times throughout the same simulation. Both panels show the evolution until t = 105 Ω 0 , i 1 $ t = 105 \Omega_{0,i}^{-1} $, with darker shades indicating later times. The dashed lines show the initial distribution of each particle species.

Current usage metrics show cumulative count of Article Views (full-text article views including HTML views, PDF and ePub downloads, according to the available data) and Abstracts Views on Vision4Press platform.

Data correspond to usage on the plateform after 2015. The current usage metrics is available 48-96 hours after online publication and is updated daily on week days.

Initial download of the metrics may take a while.