Open Access

Fig. 12.

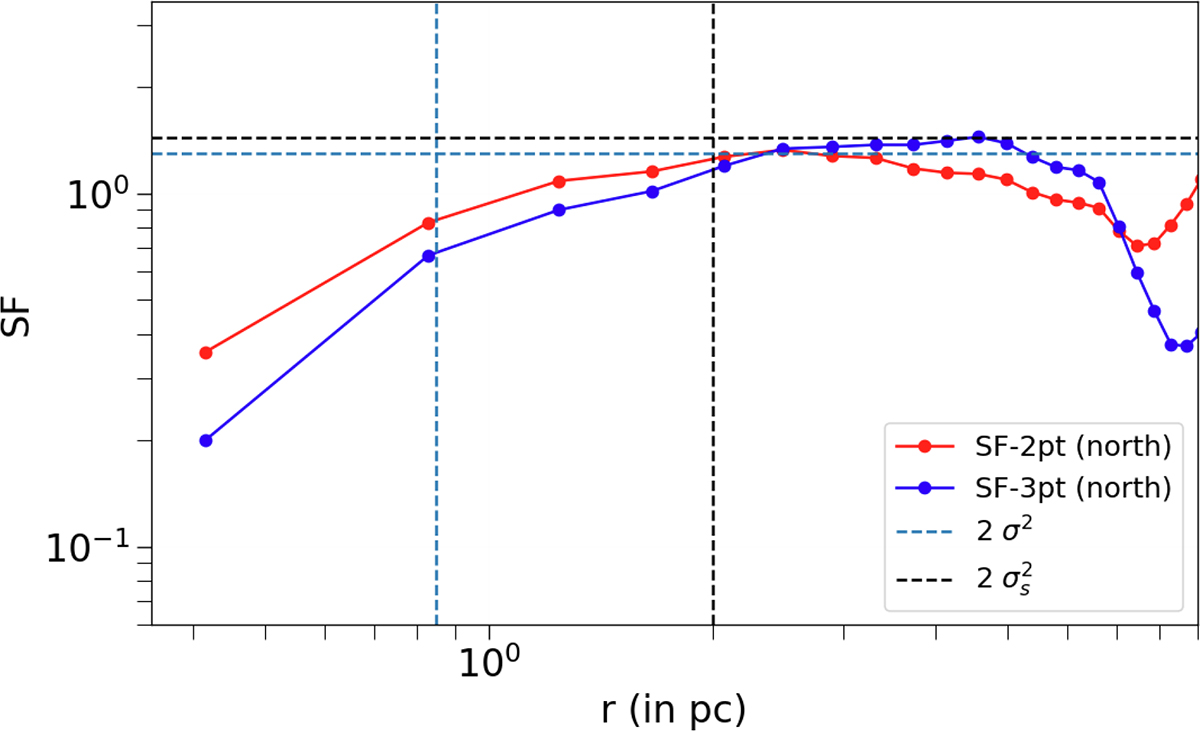
Fig. 12. Refer to the following caption and surrounding text.

Download original image

Second-order two- and three-point structure functions for the polarised intensity of the northern region. The blue and grey dashed vertical lines indicate the telescope’s beam size, lb, and coherence length, ls, respectively. The black and blue dashed horizontal lines mark 2σ2 and 2 σ s 2 Mathematical equation: $ \sigma_{s}^{2} $, corresponding to the variance for initial polarised intensity and small-scale fluctuations, respectively.

Current usage metrics show cumulative count of Article Views (full-text article views including HTML views, PDF and ePub downloads, according to the available data) and Abstracts Views on Vision4Press platform.

Data correspond to usage on the plateform after 2015. The current usage metrics is available 48-96 hours after online publication and is updated daily on week days.

Initial download of the metrics may take a while.