Open Access

Fig. 12.

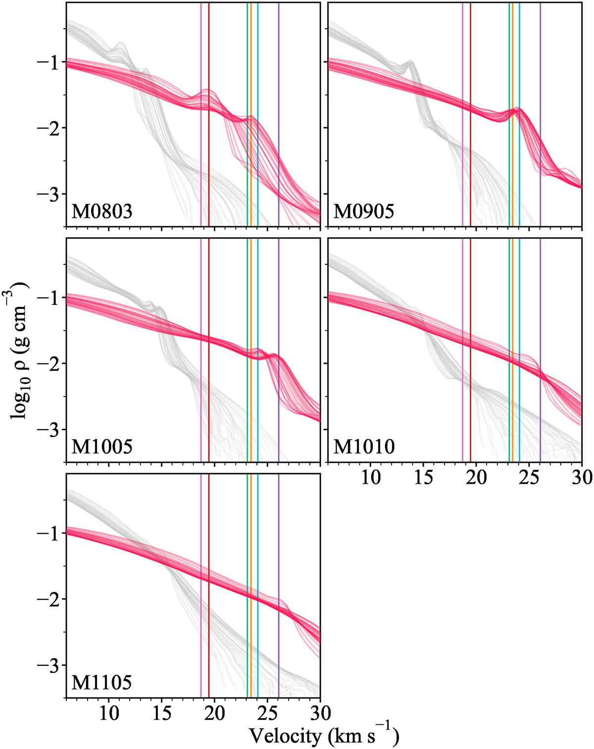
Fig. 12. Refer to the following caption and surrounding text.

Download original image

Density profiles from 100 lines of sight for five double-detonation models (grey). In pink are the same profiles scaled up to have 300% of the kinetic energy. The vertical coloured lines correspond to the peaks of the density enhancements (b values) derived from the modelling for our six SNe; the colours match those for these objects used throughout this work.

Current usage metrics show cumulative count of Article Views (full-text article views including HTML views, PDF and ePub downloads, according to the available data) and Abstracts Views on Vision4Press platform.

Data correspond to usage on the plateform after 2015. The current usage metrics is available 48-96 hours after online publication and is updated daily on week days.

Initial download of the metrics may take a while.