Open Access

Fig. 12.

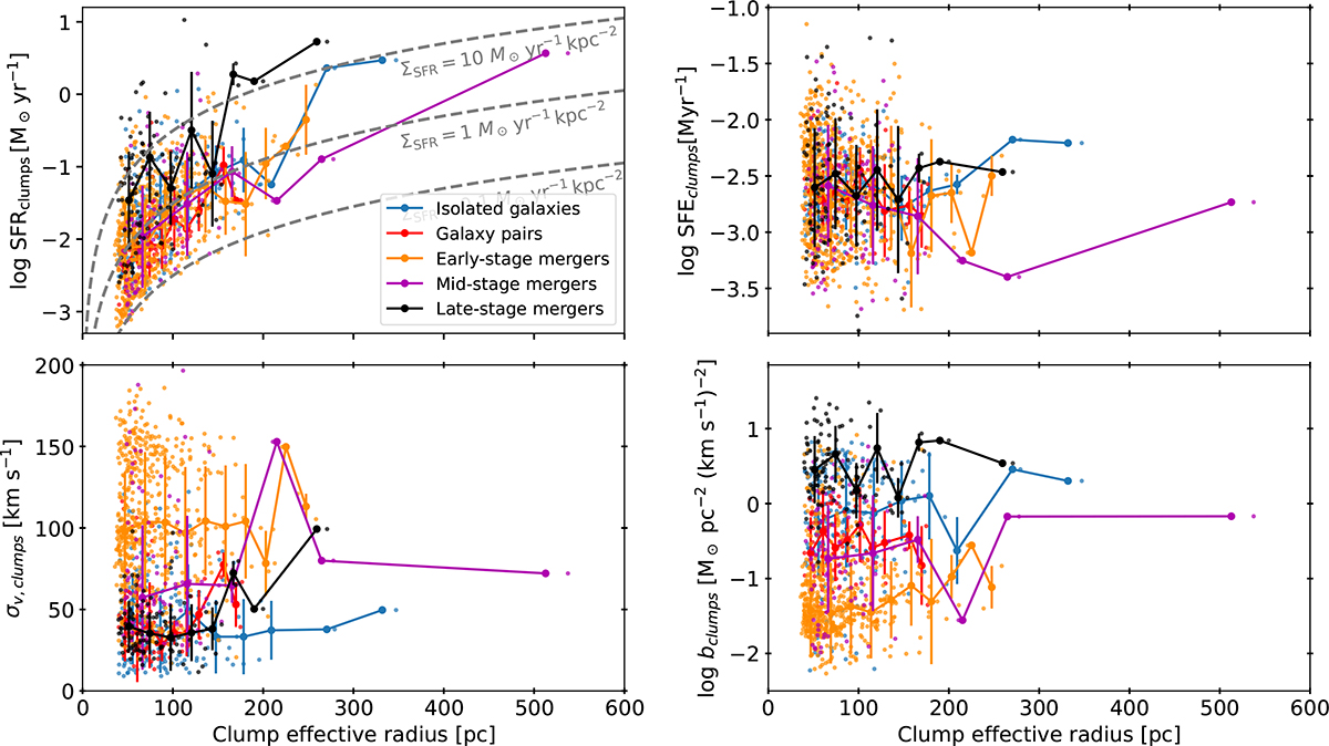
Fig. 12. Refer to the following caption and surrounding text.

Download original image

SFR (top left), SFE (top right), velocity dispersion (bottom left) and self-gravity (bottom right) of the clumps as a function of clump size. The circles show the median SFR, SFE, σv and b in bins of clump size for each merger stage. The error bars indicate the mean absolute deviation of the points in the bins. In the top left panel, the grey dashed lines indicate constant SFR surface densities.

Current usage metrics show cumulative count of Article Views (full-text article views including HTML views, PDF and ePub downloads, according to the available data) and Abstracts Views on Vision4Press platform.

Data correspond to usage on the plateform after 2015. The current usage metrics is available 48-96 hours after online publication and is updated daily on week days.

Initial download of the metrics may take a while.