Open Access

Fig. C.1.

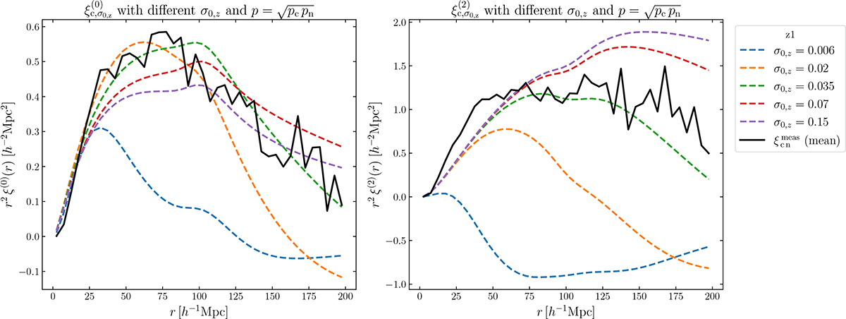
Fig. C.1. Refer to the following caption and surrounding text.

Download original image

Monopole (left) and quadrupole (right) of the correct-noise cross-correlation measurements and models in z ∈ [0.9, 1.1]. The solid black line represents the average of the ξcn measurements over the mock catalogues. Dashed lines correspond to different models for the signal (see Eq. C.1), each colour representing a different value for the redshift error in the 2PCF model.

Current usage metrics show cumulative count of Article Views (full-text article views including HTML views, PDF and ePub downloads, according to the available data) and Abstracts Views on Vision4Press platform.

Data correspond to usage on the plateform after 2015. The current usage metrics is available 48-96 hours after online publication and is updated daily on week days.

Initial download of the metrics may take a while.