Open Access

Fig. 15

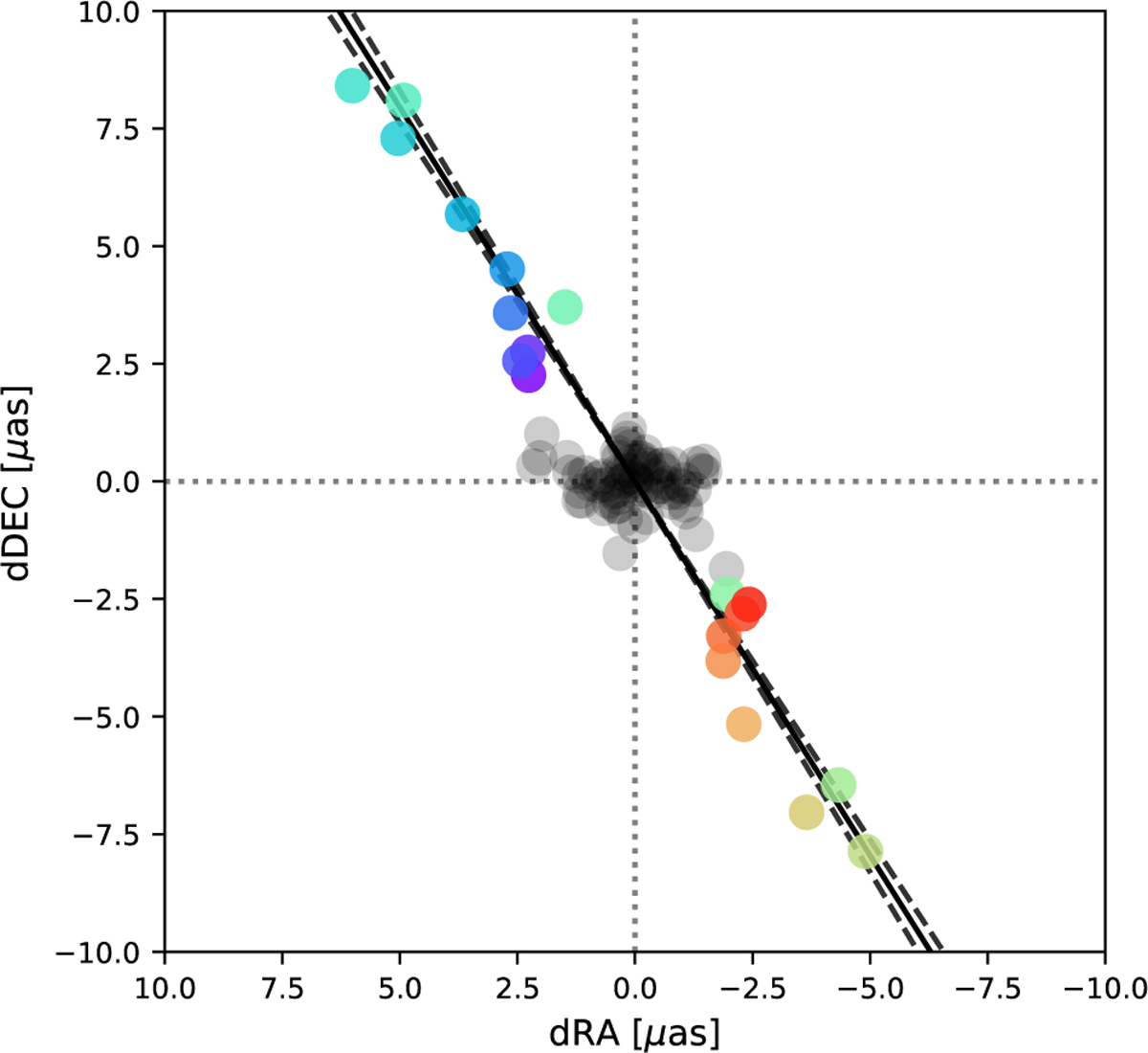
Fig. 15 Refer to the following caption and surrounding text.

Download original image

Spectro-astrometry across the photospheric Br-γ absorption line of the star β Pictoris. Blue to red colours represent the velocity channels from −400 to +400 km s−1. The gray points are the velocity channels in the continuum. The solid line is the best fit position angle for the rotation, with its uncertainty in dashed lines.

Current usage metrics show cumulative count of Article Views (full-text article views including HTML views, PDF and ePub downloads, according to the available data) and Abstracts Views on Vision4Press platform.

Data correspond to usage on the plateform after 2015. The current usage metrics is available 48-96 hours after online publication and is updated daily on week days.

Initial download of the metrics may take a while.