Open Access

Fig. 3.

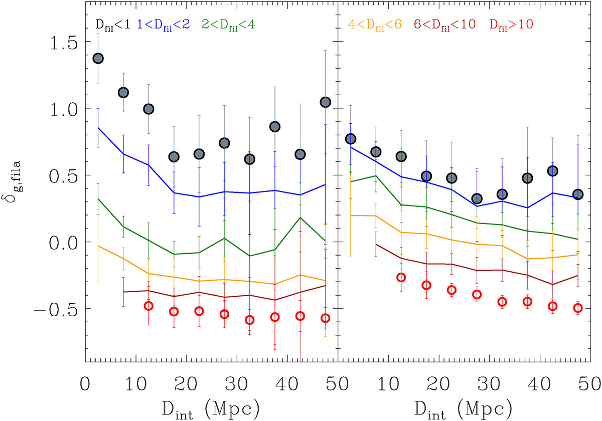
Fig. 3. Refer to the following caption and surrounding text.

Download original image

Galaxy overdensity profile along filaments for galaxies at 0.05 < z < 0.1 (left panel) and 0.1 < z < 0.3 (right panel). The different symbols represent profiles taking into account galaxies at different distances from the filament spine: Dfila < 1 Mpc (grey points), 1 < Dfila < 2 Mpc (blue line), 2 < Dfila < 4 Mpc (green line), 4 < Dfila < 6 Mpc (yellow line), 6 < Dfila < 10 Mpc (brown line), and Dfila > 10 Mpc (red points). Uncertainties are similar to Fig. 2.

Current usage metrics show cumulative count of Article Views (full-text article views including HTML views, PDF and ePub downloads, according to the available data) and Abstracts Views on Vision4Press platform.

Data correspond to usage on the plateform after 2015. The current usage metrics is available 48-96 hours after online publication and is updated daily on week days.

Initial download of the metrics may take a while.