Open Access
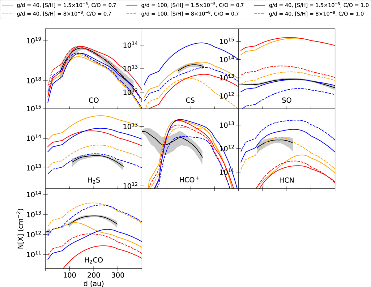
Fig. 11

Download original image
Comparison of observed radial profiles with NAUTILUS models from Rivière-Marichalar et al. (2020). The black line is the radial profile from our observations, with the shaded area representing the standard deviation. The colored lines represent the different models (see legend).
Current usage metrics show cumulative count of Article Views (full-text article views including HTML views, PDF and ePub downloads, according to the available data) and Abstracts Views on Vision4Press platform.
Data correspond to usage on the plateform after 2015. The current usage metrics is available 48-96 hours after online publication and is updated daily on week days.
Initial download of the metrics may take a while.