Open Access

Fig. 6.

Fig. 6. Refer to the following caption and surrounding text.

Download original image

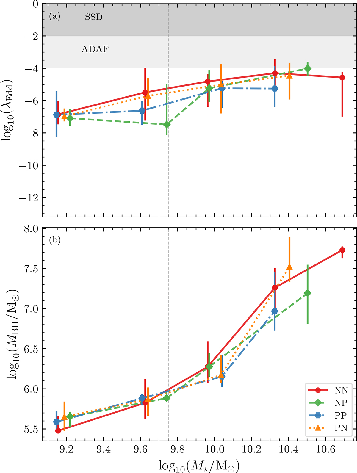
Upper panel: Eddington parameter (λEdd) as a function of galaxy stellar mass (M). The dark grey shaded region indicates the regime of radiatively efficient (SSD) accretion, while the light grey region marks the radiatively inefficient (ADAF) regime. Lower panel: BH mass as a function of M (the MBH − M relation). Median trends for each galaxy subsample are shown, where the median values were estimated by dividing the stellar mass into five bins. Error bars represent 95% CIs for the medians estimated via bootstrap resampling. The dashed vertical lines in both panels indicate the stellar mass threshold separating the low-mass and high-mass subsamples.

Current usage metrics show cumulative count of Article Views (full-text article views including HTML views, PDF and ePub downloads, according to the available data) and Abstracts Views on Vision4Press platform.

Data correspond to usage on the plateform after 2015. The current usage metrics is available 48-96 hours after online publication and is updated daily on week days.

Initial download of the metrics may take a while.