Open Access

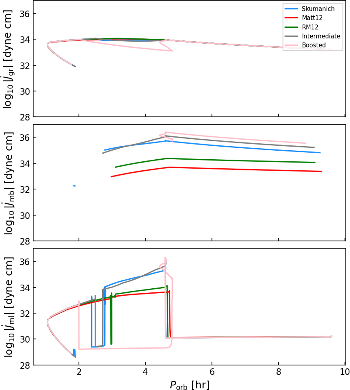
Fig. 7.

Fig. 7. Refer to the following caption and surrounding text.

Download original image

Relationship between the AML rate caused by MB ( J ˙ mb Mathematical equation: $ \dot{J}_{\mathrm{mb}} $), gravitational wave radiation ( J ˙ gr Mathematical equation: $ \dot{J}_{\mathrm{gr}} $), and mass loss ( J ˙ ml Mathematical equation: $ \dot{J}_{\mathrm{ml}} $) and the orbital period in the evolution process of the five models. The models are shown in different colors: Skumanich (blue), Matt12 (red), RM12 (green), intermediate (gray), and boosted (pink).

Current usage metrics show cumulative count of Article Views (full-text article views including HTML views, PDF and ePub downloads, according to the available data) and Abstracts Views on Vision4Press platform.

Data correspond to usage on the plateform after 2015. The current usage metrics is available 48-96 hours after online publication and is updated daily on week days.

Initial download of the metrics may take a while.