Open Access

Fig. 2.

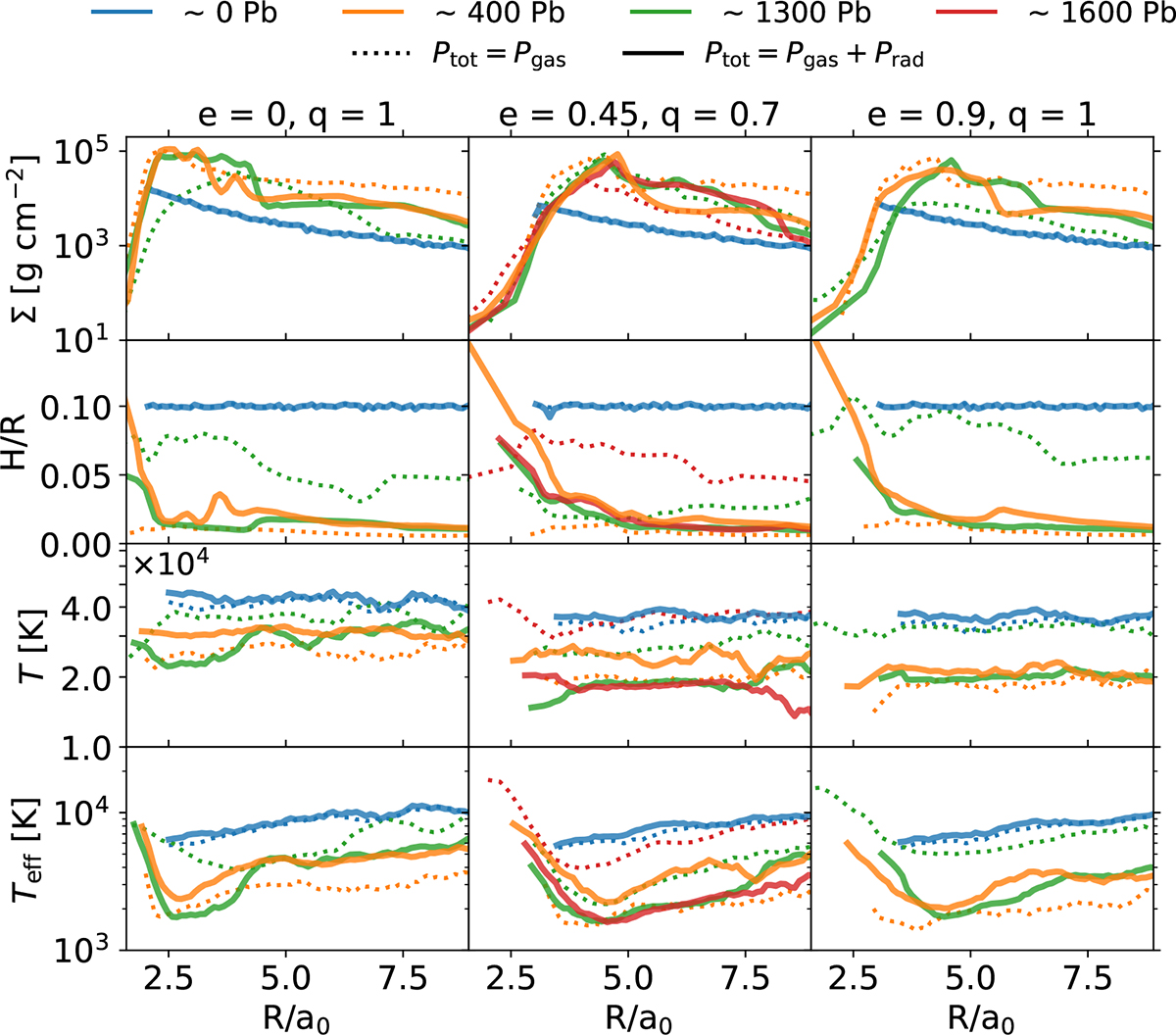
Fig. 2. Refer to the following caption and surrounding text.

Download original image

Time evolution of the surface density (first row), disc aspect ratio (H/R; second row), the midplane temperature (third row), and the effective temperature (last row) as a function of radius for the binary case e = 0, q = 1 (first column); e = 0.45, q = 0.7 (central column); and e = 0.9, q = 1 (last column) at different times (distinguished by different colours). The solid and dashed lines refer to the simulation without and with the implementation of the radiation pressure, respectively. The initial condition of the disc is the same across all the cases except for the initial cavity radius, which is 3a0 in both of the eccentric simulations, while it is 2a0 in the circular binary cases. We calculated the midplane temperature and the effective temperature assuming that both the gas and the radiation pressure contribute to the hydrostatic equilibrium of the disc in all the cases. The radiation pressure contribution leads the disc to maintain a lower aspect ratio and temperature.

Current usage metrics show cumulative count of Article Views (full-text article views including HTML views, PDF and ePub downloads, according to the available data) and Abstracts Views on Vision4Press platform.

Data correspond to usage on the plateform after 2015. The current usage metrics is available 48-96 hours after online publication and is updated daily on week days.

Initial download of the metrics may take a while.