Open Access

Fig. 10.

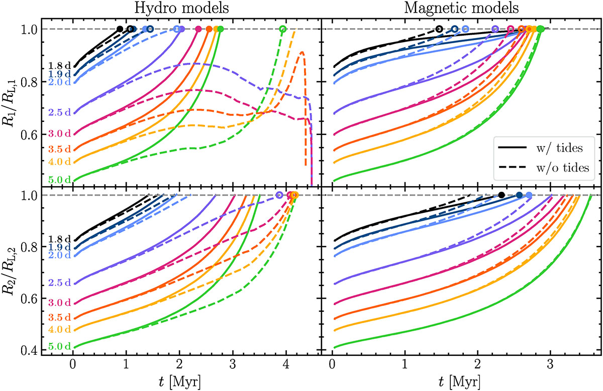
Fig. 10. Refer to the following caption and surrounding text.

Download original image

Roche lobe filling factor evolution of 60 + 45 M systems at different orbital periods. Models accounting (not accounting) for tidal interactions are represented in solid (dashed) lines. Left panels: Hydro models: Right panels: Magnetic models. Upper panels: Primary star evolution. Lower panels: Secondary star evolution. For each simulated system a dot indicates whether the primary or the secondary fills its RL first (solid dot for the models with tides, empty dot for the models without tides).

Current usage metrics show cumulative count of Article Views (full-text article views including HTML views, PDF and ePub downloads, according to the available data) and Abstracts Views on Vision4Press platform.

Data correspond to usage on the plateform after 2015. The current usage metrics is available 48-96 hours after online publication and is updated daily on week days.

Initial download of the metrics may take a while.