Open Access

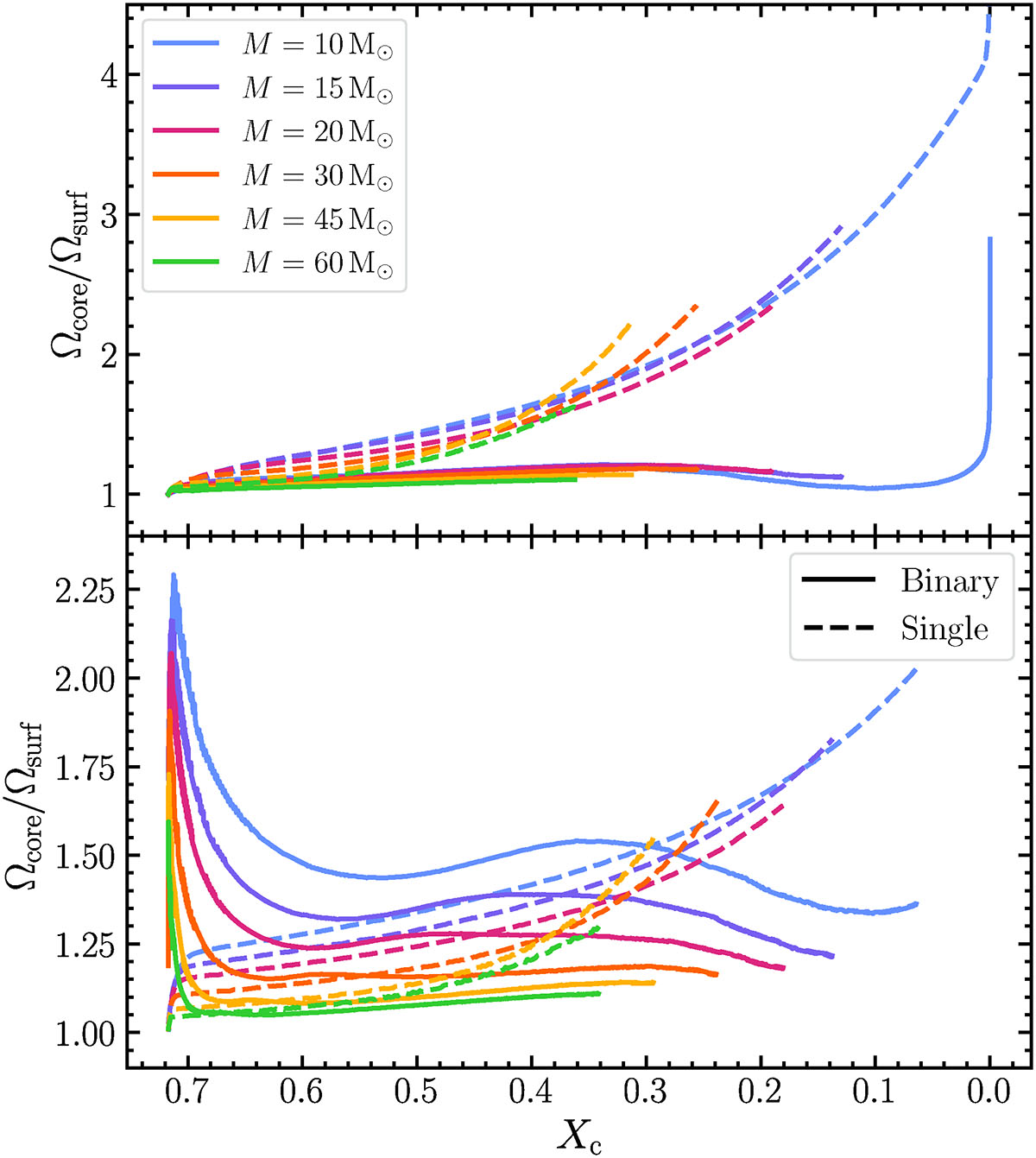
Fig. E.1.

Fig. E.1. Refer to the following caption and surrounding text.

Download original image

Time evolution of the core-to-surface rotation ratio of the hydro models of the grids of Sect. 3.2 at P = 3 days. Upper panel: First grid (models initialized at synchronization). Lower panel: Second grid (models initialized at υini/υcrit = 0.4).

Current usage metrics show cumulative count of Article Views (full-text article views including HTML views, PDF and ePub downloads, according to the available data) and Abstracts Views on Vision4Press platform.

Data correspond to usage on the plateform after 2015. The current usage metrics is available 48-96 hours after online publication and is updated daily on week days.

Initial download of the metrics may take a while.