Open Access

Fig. 7

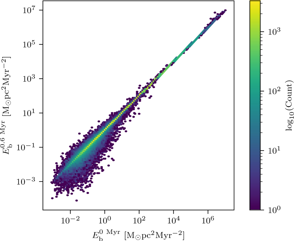
Fig. 7 Refer to the following caption and surrounding text.

Download original image

2D density map of the absolute value of the binding energy for surviving binaries at 0 Myr and 0.6 Myr. Colours indicate the number of binaries on a logarithmic scale. The main axes use an equal aspect ratio (identical scaling on both axes).

Current usage metrics show cumulative count of Article Views (full-text article views including HTML views, PDF and ePub downloads, according to the available data) and Abstracts Views on Vision4Press platform.

Data correspond to usage on the plateform after 2015. The current usage metrics is available 48-96 hours after online publication and is updated daily on week days.

Initial download of the metrics may take a while.