Open Access

Fig. C.2.

Fig. C.2. Refer to the following caption and surrounding text.

Download original image

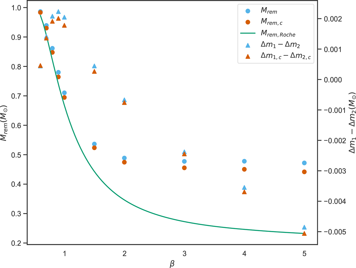
Mass loss for RG2 at different β values. Dots and triangles show the remnant mass and asymmetric mass loss, respectively, with blue and red corresponding to the two Hill radius definitions from Eqs. C.1 and C.2. The solid green line assumes only material outside the Roche lobe is stripped at periastron.

Current usage metrics show cumulative count of Article Views (full-text article views including HTML views, PDF and ePub downloads, according to the available data) and Abstracts Views on Vision4Press platform.

Data correspond to usage on the plateform after 2015. The current usage metrics is available 48-96 hours after online publication and is updated daily on week days.

Initial download of the metrics may take a while.