Open Access

Fig. 6.

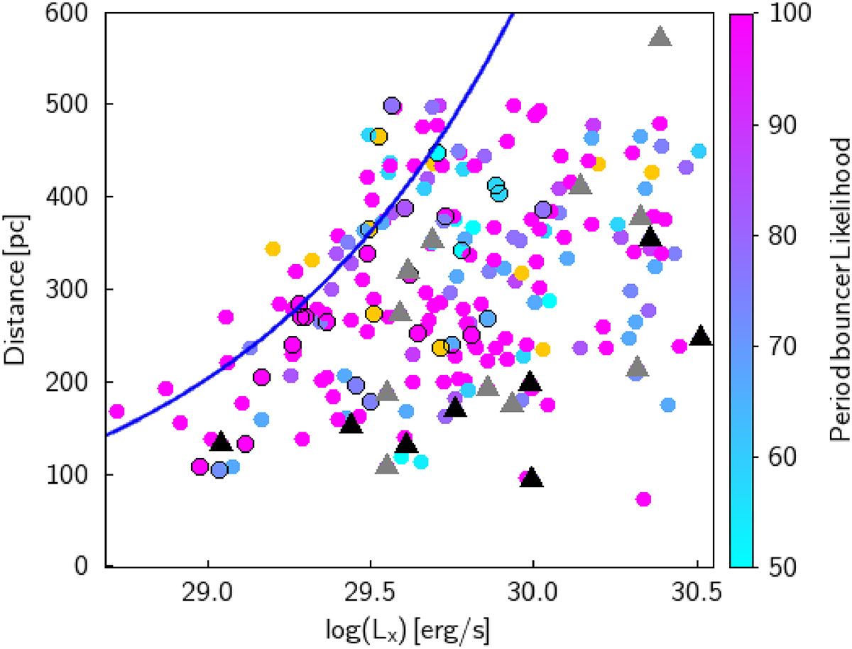
Fig. 6. Refer to the following caption and surrounding text.

Download original image

Distance from Bailer-Jones et al. (2021) versus X-ray luminosity showing the position of the 213 period-bounce candidates (in color scale) and the eROSITA-detected confirmed period-bouncers (in triangles, bona fide period-bouncers are highlighted in black). The average eRASS:4 sensitivity limit is marked by the blue line (see text in Sect. 4). Black borders are used to show possible resolved binaries in the eROSITA WD subsample.

Current usage metrics show cumulative count of Article Views (full-text article views including HTML views, PDF and ePub downloads, according to the available data) and Abstracts Views on Vision4Press platform.

Data correspond to usage on the plateform after 2015. The current usage metrics is available 48-96 hours after online publication and is updated daily on week days.

Initial download of the metrics may take a while.