Open Access

Fig. B.1.

Fig. B.1. Refer to the following caption and surrounding text.

Download original image

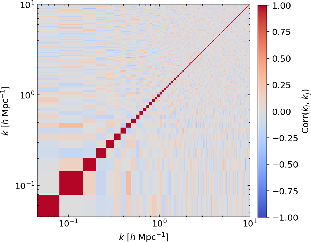
Correlation matrix for 100 realisations of the z = 7 MHDEC 21cm–LAE cross-power spectrum P21, LAE(k). Assumed survey characteristics are σz = 0.01, Lαmin = 1042.5erg s−1, FoV = 25 deg2, the SKA-Low1 AA★ array layout, and a moderate foreground wedge.

Current usage metrics show cumulative count of Article Views (full-text article views including HTML views, PDF and ePub downloads, according to the available data) and Abstracts Views on Vision4Press platform.

Data correspond to usage on the plateform after 2015. The current usage metrics is available 48-96 hours after online publication and is updated daily on week days.

Initial download of the metrics may take a while.