Open Access

Fig. C.1.

Fig. C.1. Refer to the following caption and surrounding text.

Download original image

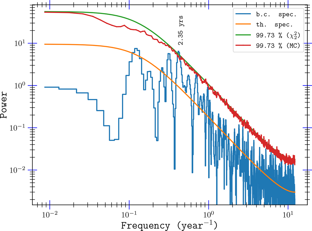
REDFIT plot of the segmented light curve of Ton 599 (1997 – 2020): b.c. spec. and th. spec. denote the bias-corrected spectrum and the fitted AR1 model spectrum, respectively.

Current usage metrics show cumulative count of Article Views (full-text article views including HTML views, PDF and ePub downloads, according to the available data) and Abstracts Views on Vision4Press platform.

Data correspond to usage on the plateform after 2015. The current usage metrics is available 48-96 hours after online publication and is updated daily on week days.

Initial download of the metrics may take a while.