Open Access

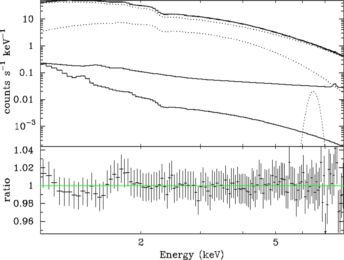
Fig. 3.

Fig. 3. Refer to the following caption and surrounding text.

Download original image

X-ray spectrum of 4U 1556–60 from NICER from all observations combined. The spectrum is fit with a powerlaw + bbodyrad, and a gaussian for the iron line. Background models are also shown. Full parameters are in Table 3.

Current usage metrics show cumulative count of Article Views (full-text article views including HTML views, PDF and ePub downloads, according to the available data) and Abstracts Views on Vision4Press platform.

Data correspond to usage on the plateform after 2015. The current usage metrics is available 48-96 hours after online publication and is updated daily on week days.

Initial download of the metrics may take a while.