Open Access

Fig. 5.

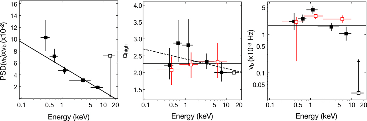
Fig. 5. Refer to the following caption and surrounding text.

Download original image

Same as in Fig. 4, but for NGC 4395. Open red squares in this case indicate the results of Vaughan et al. (2005). The solid lines indicate the best-fit log-linear model to the PSDamp vs. E plot (left panel), the weighted mean αhigh and νb (middle and right panels, respectively). The dashed line in the middle panel indicate the best-fit log-liner model with a slope equal to the slope of the bst-fit to the αhigh − E data in NGC 4051.

Current usage metrics show cumulative count of Article Views (full-text article views including HTML views, PDF and ePub downloads, according to the available data) and Abstracts Views on Vision4Press platform.

Data correspond to usage on the plateform after 2015. The current usage metrics is available 48-96 hours after online publication and is updated daily on week days.

Initial download of the metrics may take a while.