Open Access

Fig. 5.

Fig. 5. Refer to the following caption and surrounding text.

Download original image

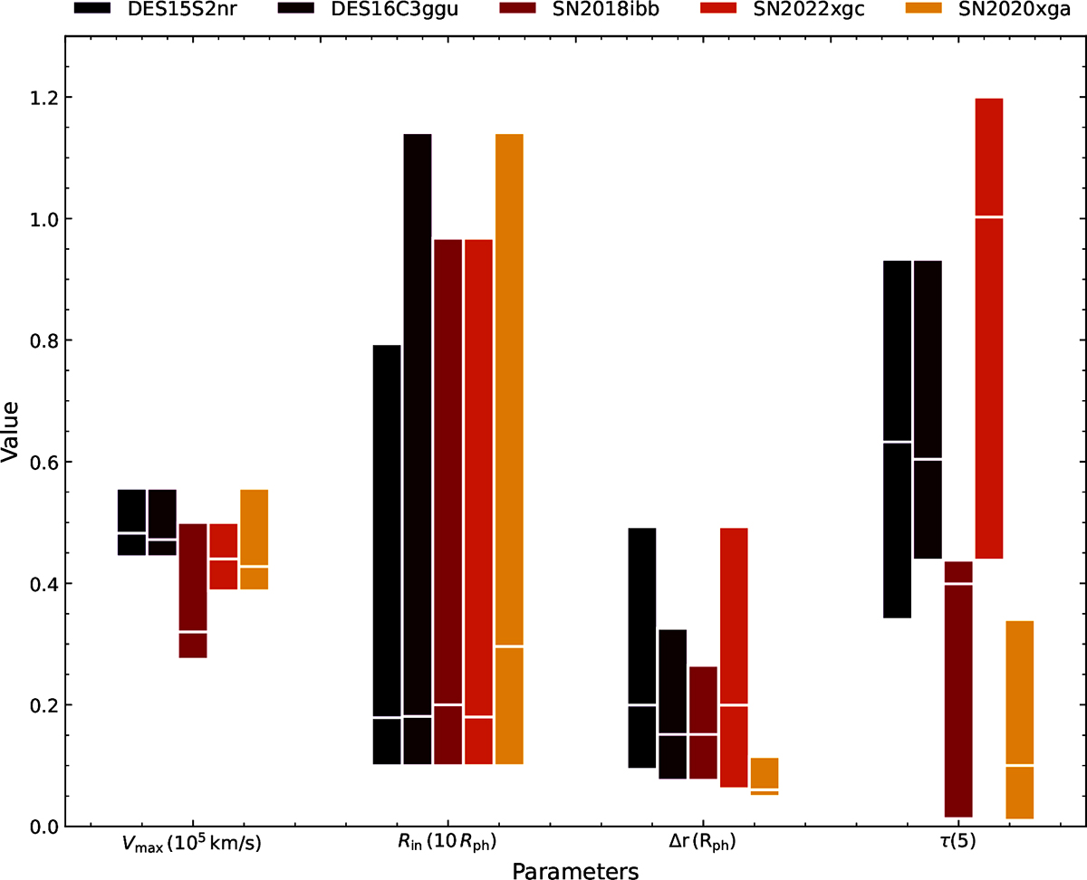
Boxplots for DES15S2nr, DES16C3ggu, SN 2022xgc, SN 2018ibb, and SN 2020xga. The colored boxes indicate the parameter space where models with CSM are statistically favored over continuum-only models at a confidence level exceeding > 5σ. The white horizontal lines within each box mark the best-fit values. The parameters explored are the maximum velocity (vmax), the inner radius (Rin), the shell thickness (Δr), and the optical depth (τ).

Current usage metrics show cumulative count of Article Views (full-text article views including HTML views, PDF and ePub downloads, according to the available data) and Abstracts Views on Vision4Press platform.

Data correspond to usage on the plateform after 2015. The current usage metrics is available 48-96 hours after online publication and is updated daily on week days.

Initial download of the metrics may take a while.