Open Access

Fig. 6.

Fig. 6. Refer to the following caption and surrounding text.

Download original image

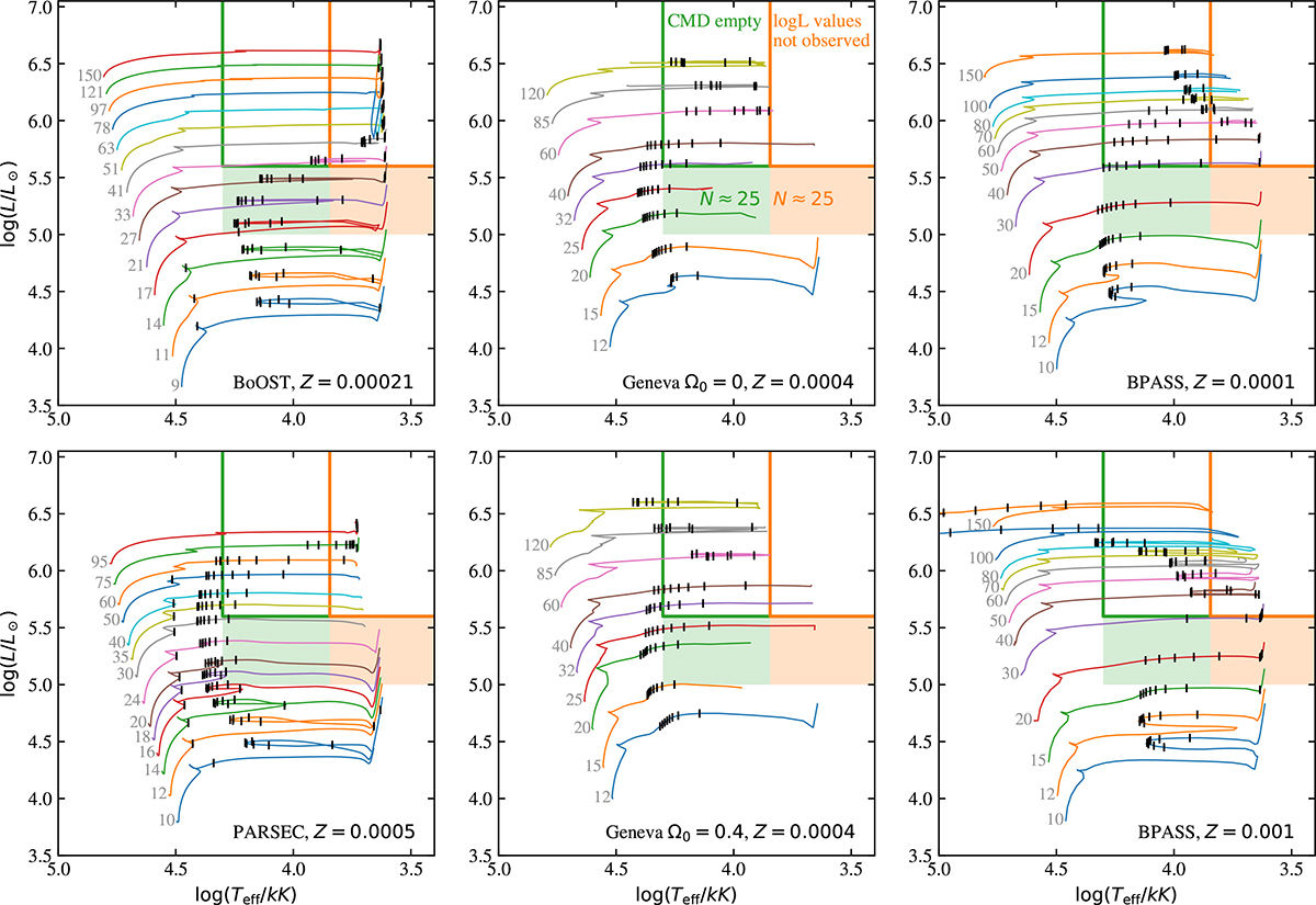
Hertzsprung-Russell diagrams showing evolutionary tracks with a metallicity similar to I Zw 18. The gray numbers indicate the initial masses of the evolutionary models in solar units. The black ticks indicate the model positions at 0.925, 0.935, ..., 0.995 times the age of the final model, indicating where helium-burning models spend most of their time. The empty region in the CMD of I Zw 18 associated with bright warm sources (log(L/L) > 5.6 and 7 ≤ Teff/kK < 20; Fig. 5) is highlighted with an empty green box. The area where we found no bright cool SGs is highlighted with an empty orange box. The areas where we inferred approximately 25 warm and cool SGs are highlighted with filled green and orange boxes, respectively.

Current usage metrics show cumulative count of Article Views (full-text article views including HTML views, PDF and ePub downloads, according to the available data) and Abstracts Views on Vision4Press platform.

Data correspond to usage on the plateform after 2015. The current usage metrics is available 48-96 hours after online publication and is updated daily on week days.

Initial download of the metrics may take a while.