Open Access

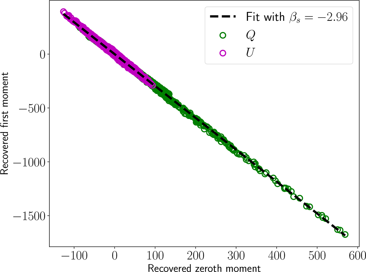
Fig. 5.

Fig. 5. Refer to the following caption and surrounding text.

Download original image

Correlation between recovered Stokes Q(p) (green) and U(p) (magenta) maps corresponding to zeroth and first order moments. The black dashed line is the linear fit with βs = −2.96 which corresponds to mean value of the input spectral index map.

Current usage metrics show cumulative count of Article Views (full-text article views including HTML views, PDF and ePub downloads, according to the available data) and Abstracts Views on Vision4Press platform.

Data correspond to usage on the plateform after 2015. The current usage metrics is available 48-96 hours after online publication and is updated daily on week days.

Initial download of the metrics may take a while.