Open Access

Fig. 7.

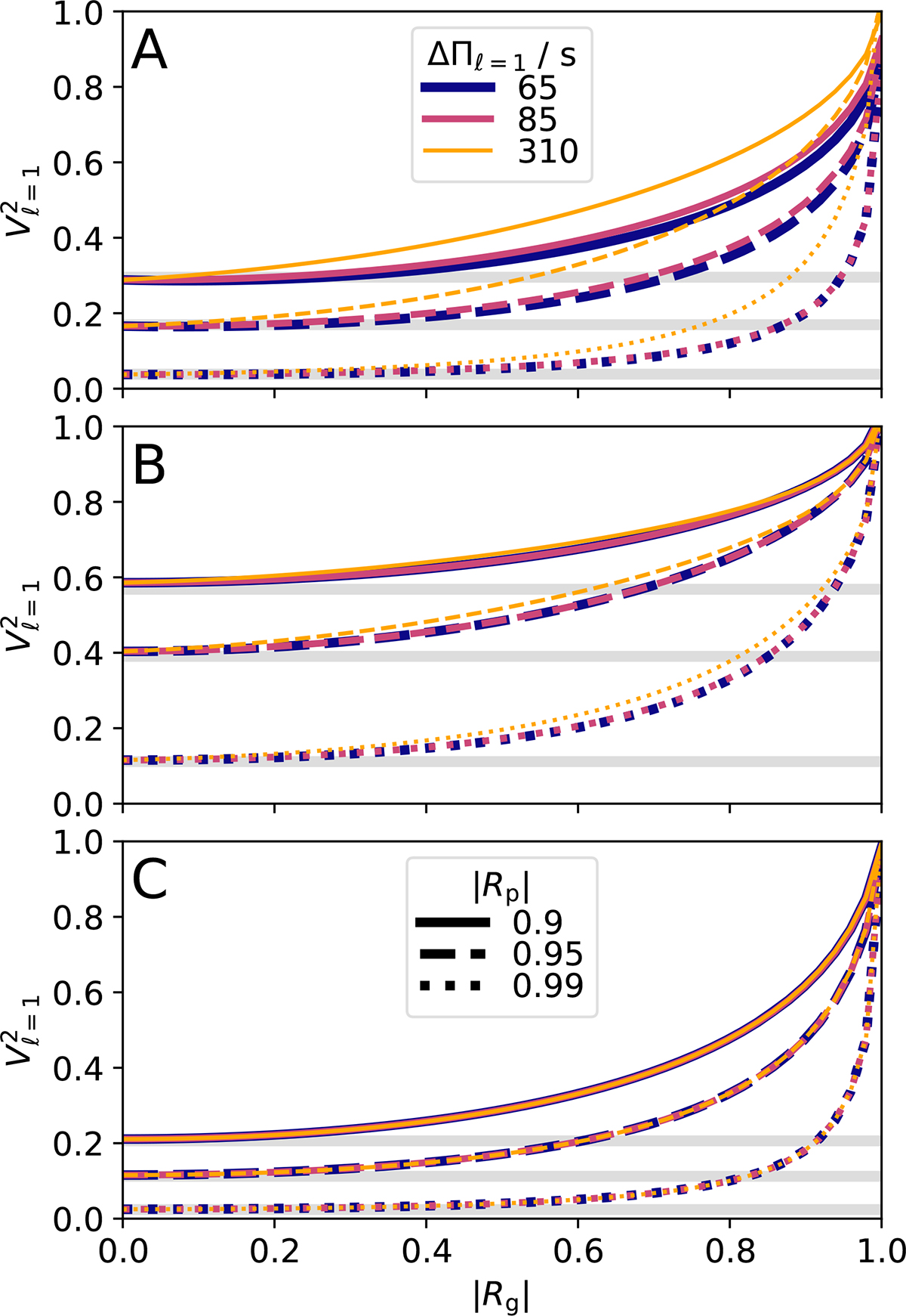
Fig. 7. Refer to the following caption and surrounding text.

Download original image

Dipole mode visibility as a function of the modulus of the reflection coefficient of the lower boundary of the g-mode cavity for our three sets of stellar parameters. For each set, we show the visibility for the three nominal values of the period spacing of the parameters sets (colors) and the modulus of the reflection coefficient of the upper boundary of the p-mode cavity (line styles). The gray horizontal lines correspond to the visibility of the dipole mode when Rg = 0 (Eq. (52)). Small deviations from the value predicted by Eq. (52) can be induced by the multiplication of the normalized power spectrum with the Gaussian envelope (see Sect. 4.2). For an explanation why the visibility is not always equal to one when |Rg| = 1, see Appendix D.

Current usage metrics show cumulative count of Article Views (full-text article views including HTML views, PDF and ePub downloads, according to the available data) and Abstracts Views on Vision4Press platform.

Data correspond to usage on the plateform after 2015. The current usage metrics is available 48-96 hours after online publication and is updated daily on week days.

Initial download of the metrics may take a while.