Open Access

Fig. 16.

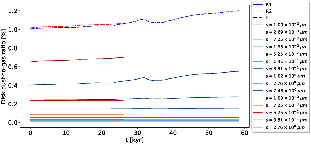
Fig. 16. Refer to the following caption and surrounding text.

Download original image

Disk metallicity of runs R1 (blue) and R2 (red) as a function of time, with t = 0 marking the epoch of sink formation. The dash-dotted line indicates the total dust–to–gas ratio of the disk (ϵ), while the colored solid lines show the ratios of individual dust species, with darker shades corresponding to larger grain sizes.

Current usage metrics show cumulative count of Article Views (full-text article views including HTML views, PDF and ePub downloads, according to the available data) and Abstracts Views on Vision4Press platform.

Data correspond to usage on the plateform after 2015. The current usage metrics is available 48-96 hours after online publication and is updated daily on week days.

Initial download of the metrics may take a while.