Open Access

Fig. 2.

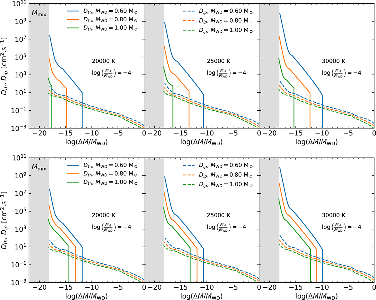
Fig. 2. Refer to the following caption and surrounding text.

Download original image

Diffusion coefficient for atomic diffusion (dashed lines) and thermohaline convection (solid lines) for different white dwarf masses and effective temperatures with log(MH/MWD) = − 4. Cases 1 and 2 are presented in the top and bottom panels, respectively. The grey areas represent the region of mass Mmix where the composition was initially fully mixed (the same region was plotted for each model for clarity).

Current usage metrics show cumulative count of Article Views (full-text article views including HTML views, PDF and ePub downloads, according to the available data) and Abstracts Views on Vision4Press platform.

Data correspond to usage on the plateform after 2015. The current usage metrics is available 48-96 hours after online publication and is updated daily on week days.

Initial download of the metrics may take a while.