Open Access

Fig. B.4.

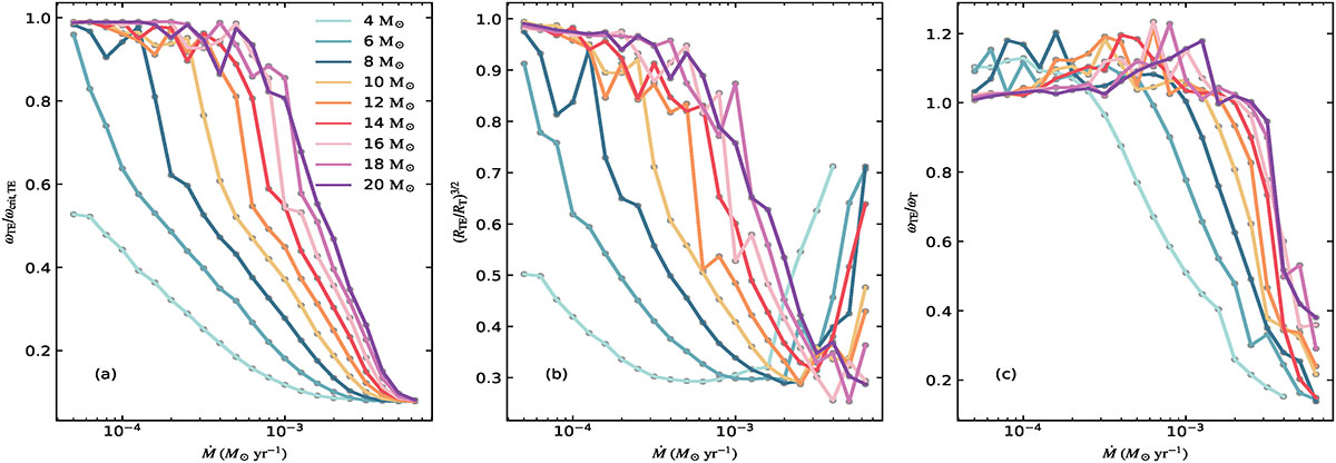
Fig. B.4. Refer to the following caption and surrounding text.

Download original image

Relationship between the mass accretion rate and (a) the ratio of the surface angular velocity to the critical value when the star regains TE, (b) the deviation from TE characterized by the (RTE/RT)3/2, where RTE and RT denote the stellar radii at the times when TE is restored and when mass accretion terminates, respectively, and (c) the ratio between the surface angular velocity at the time of TE restoration (ωTE) and that at the time of accretion termination (ωT). Different colors indicate models with different initial masses. Gray points along the lines represent individual models from Set I.

Current usage metrics show cumulative count of Article Views (full-text article views including HTML views, PDF and ePub downloads, according to the available data) and Abstracts Views on Vision4Press platform.

Data correspond to usage on the plateform after 2015. The current usage metrics is available 48-96 hours after online publication and is updated daily on week days.

Initial download of the metrics may take a while.