Open Access

Fig. B.1

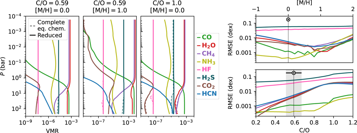
Fig. B.1 Refer to the following caption and surrounding text.

Download original image

Accuracy validation of reduced FastChem input compared to the complete, extended equilibrium-chemistry model. Left panels : deviation in VMRs for a solar composition (Asplund et al. 2021), a 10 times solar metallicity, and a C/O = 1.0, assuming a Teff = 1300 K temperature profile (Mukherjee et al. 2024). Right panels : RMSE between the log VMRs of the two inputs at varying metallicities and C/O ratios.

Current usage metrics show cumulative count of Article Views (full-text article views including HTML views, PDF and ePub downloads, according to the available data) and Abstracts Views on Vision4Press platform.

Data correspond to usage on the plateform after 2015. The current usage metrics is available 48-96 hours after online publication and is updated daily on week days.

Initial download of the metrics may take a while.