Open Access

Fig. 8.

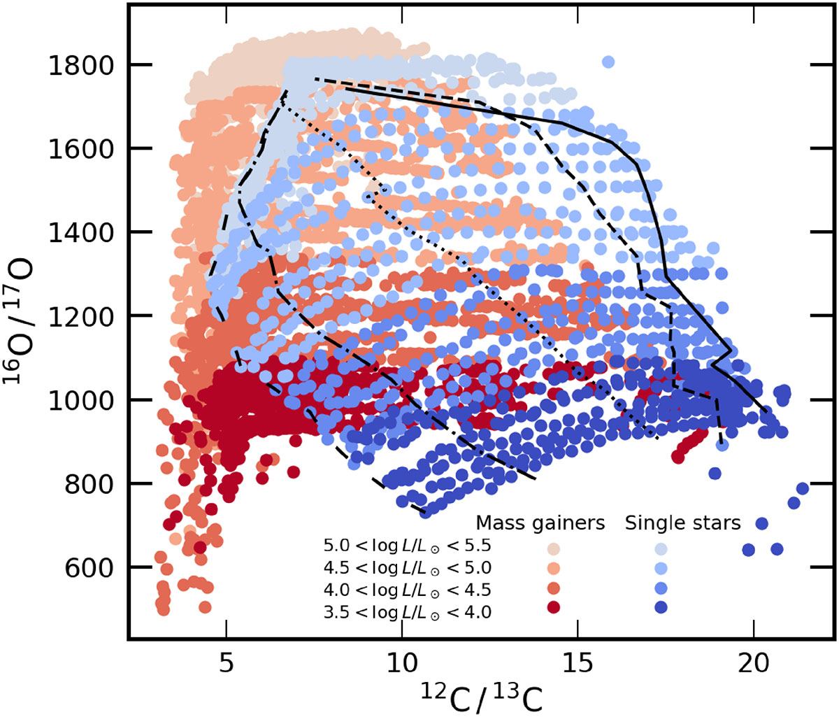
Fig. 8. Refer to the following caption and surrounding text.

Download original image

Predictions for 12C/13C and 16O/17O surface isotopic ratios in the red supergiant phase. Single-star models and mass gainer models in different luminosity ranges are colored differently. For single-star models, lines mark the limits for models with different initial rotational velocities of 0, 100, 200, 300, 400 km s−1 from right to left. The initial values of 12C/13C and 16O/17O are 90 and 2750.

Current usage metrics show cumulative count of Article Views (full-text article views including HTML views, PDF and ePub downloads, according to the available data) and Abstracts Views on Vision4Press platform.

Data correspond to usage on the plateform after 2015. The current usage metrics is available 48-96 hours after online publication and is updated daily on week days.

Initial download of the metrics may take a while.