Open Access

Fig. B.1.

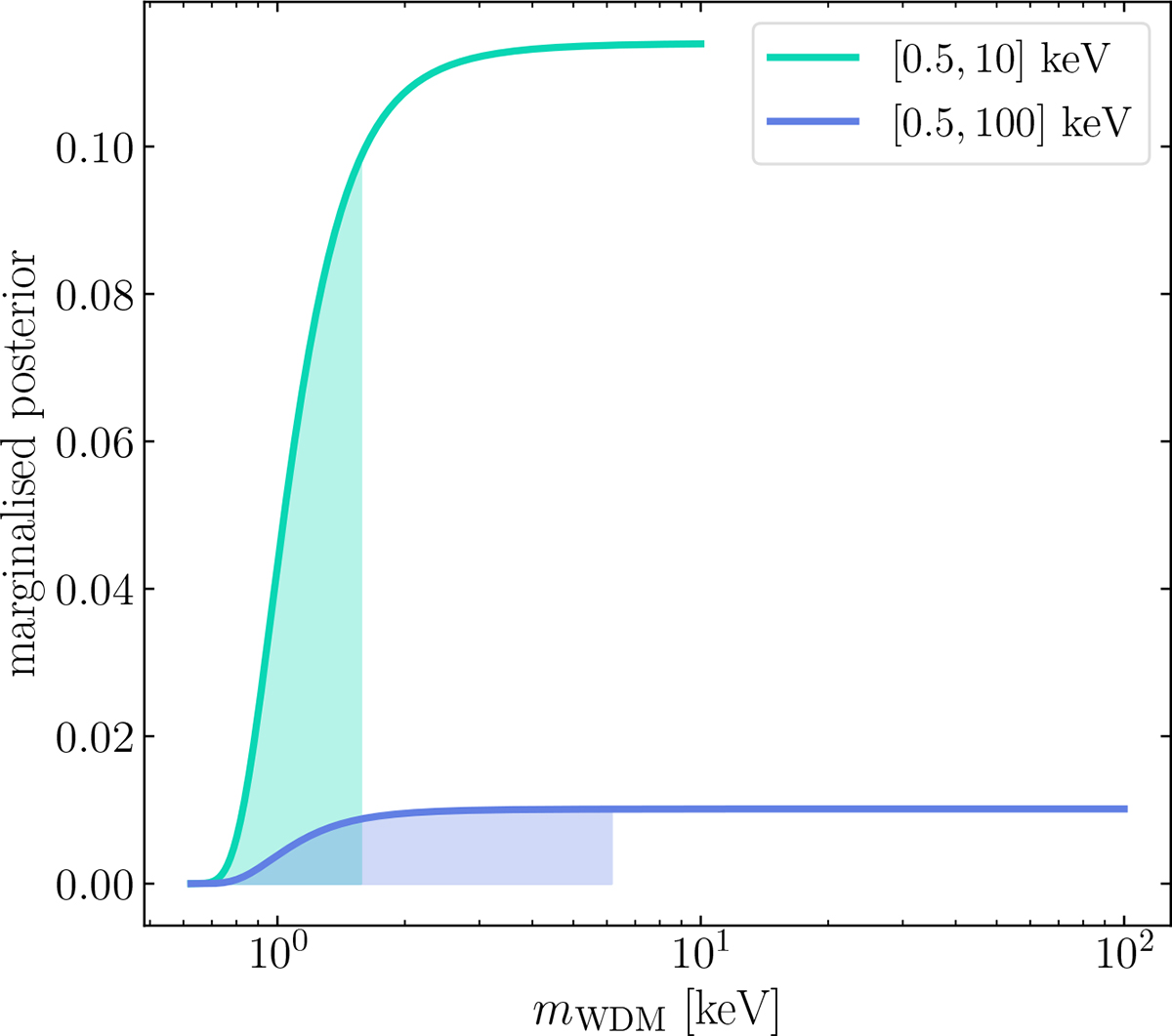
Fig. B.1. Refer to the following caption and surrounding text.

Download original image

Marginalised posterior distributions (differential in mWDM) for the reference survey in the optimistic scenario. The posteriors are obtained assuming uniform priors in mWDM over two different mass ranges. Shaded regions indicate the 5% tails, defining the 95% CL for mWDM, corresponding to 1.57 keV and 6.16 keV for m WDM max = 10 Mathematical equation: $ m_{\mathrm{WDM}}^{\mathrm{max}} = 10 $ and 100 keV, respectively.

Current usage metrics show cumulative count of Article Views (full-text article views including HTML views, PDF and ePub downloads, according to the available data) and Abstracts Views on Vision4Press platform.

Data correspond to usage on the plateform after 2015. The current usage metrics is available 48-96 hours after online publication and is updated daily on week days.

Initial download of the metrics may take a while.