Open Access

Fig. 2

Fig. 2 Refer to the following caption and surrounding text.

Download original image

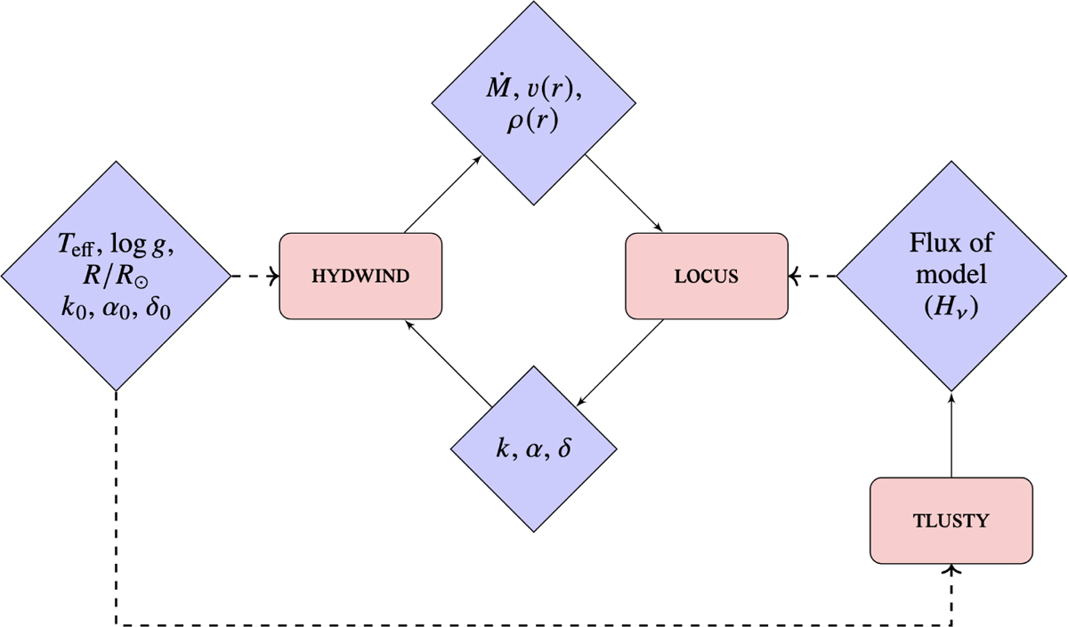
Iterative process introduced by Gormaz-Matamala et al. (2019) combining the codes LOCUS, HYDWIND, and TLUSTY. This process describes the calculation of the line-force and wind parameters from a unique set of stellar parameters. After computing the new values of k, α, and δ, they are compared with the previous ones; if Eq. (14) is satisfied, the process terminates.

Current usage metrics show cumulative count of Article Views (full-text article views including HTML views, PDF and ePub downloads, according to the available data) and Abstracts Views on Vision4Press platform.

Data correspond to usage on the plateform after 2015. The current usage metrics is available 48-96 hours after online publication and is updated daily on week days.

Initial download of the metrics may take a while.