Open Access

Fig. E.1.

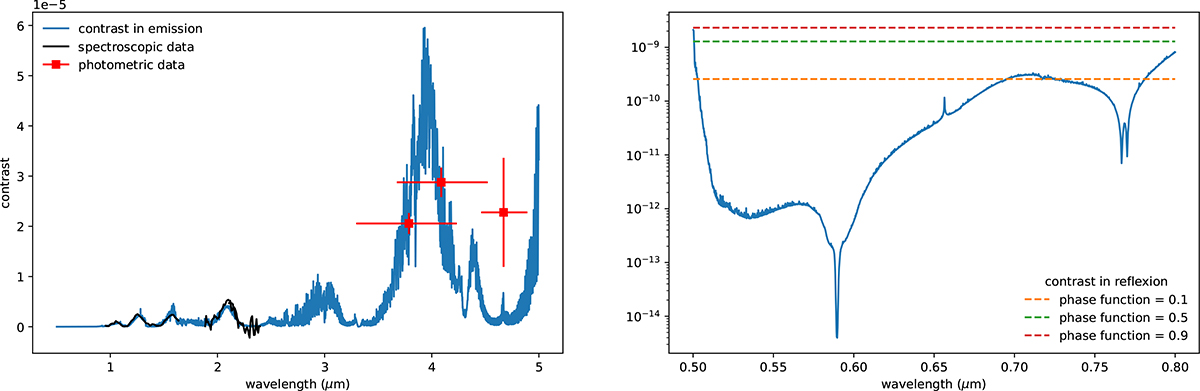
Fig. E.1. Refer to the following caption and surrounding text.

Download original image

Contrast in thermal and reflected light. Left: Contrast curve in thermal light predicted for the companion between 0.5 and 5 μm. We overplotted the Y/J/H1-band SPHERE data from Brown-Sevilla et al. (2023), the Keck/GPI K1- and K2-band spectroscopy and the Keck/NIRC2 L and M-bands photometry from Rajan et al. (2017), and the JWST/NIRCam F410M-band photometry from Balmer et al. (2025). Right: Zoomed-in version in the visible light range. We overplotted estimates of the reflected light contrast of the planet under different phase function scenarios, considering an albedo of 0.5.

Current usage metrics show cumulative count of Article Views (full-text article views including HTML views, PDF and ePub downloads, according to the available data) and Abstracts Views on Vision4Press platform.

Data correspond to usage on the plateform after 2015. The current usage metrics is available 48-96 hours after online publication and is updated daily on week days.

Initial download of the metrics may take a while.