Fig. 3.

Download original image
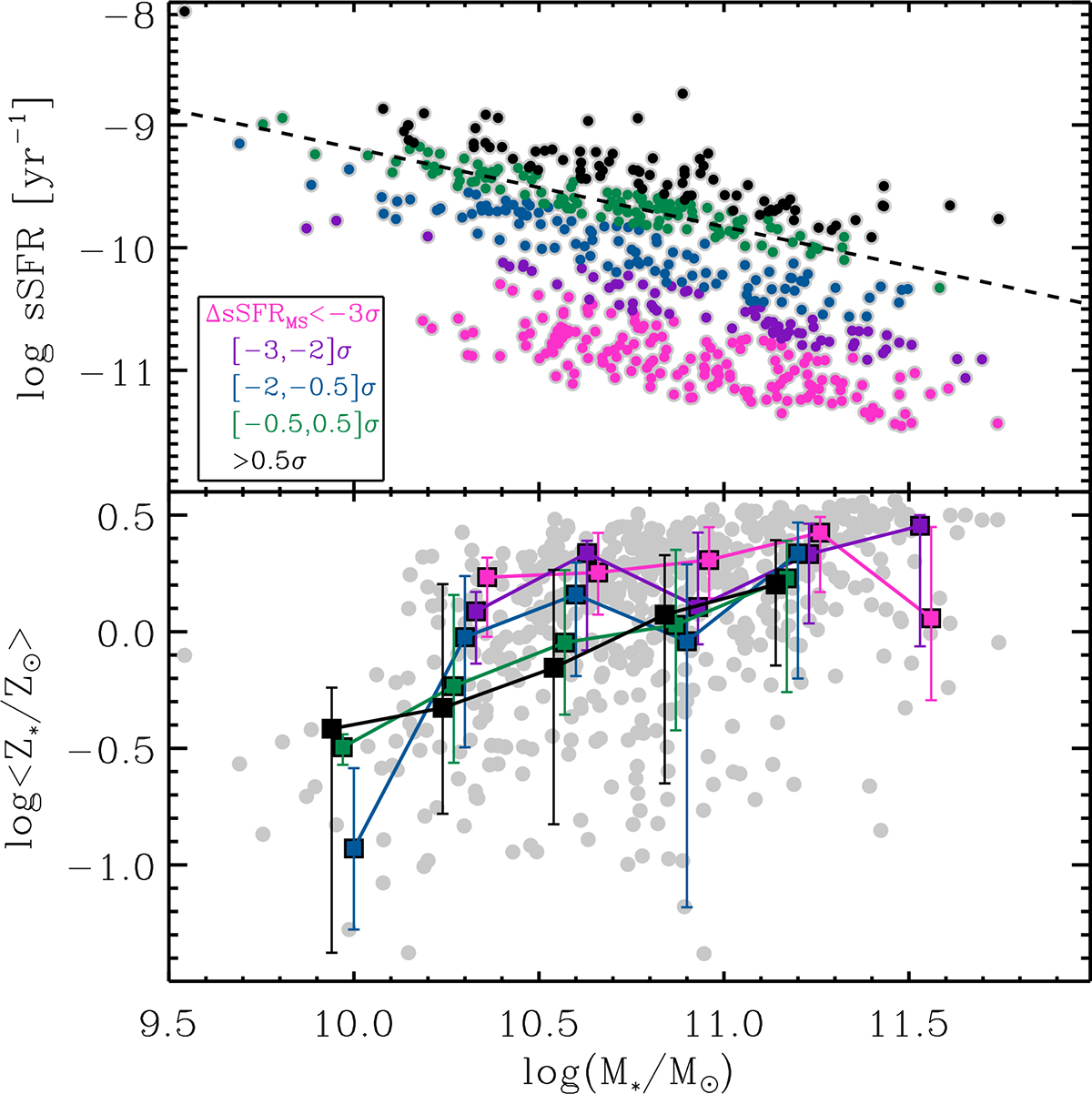
Top panel: SSFR vs. stellar mass for silver galaxies, divided into bins of distance from the relation fit to UVJ star-forming galaxies (dashed line, Eq. (1)). Bottom panel: luminosity-weighted mean stellar metallicity as a function of stellar mass for LEGA-C silver sample (grey points). The filled squares show the median stellar metallicity in bins of stellar mass (0.3 dex wide and with at least 5 galaxies), weighted by Tcor × w_spec_silver, for galaxies in different bins of distance from the MS (as illustrated in the top panel). The error bars represent the weighted 16th and 84th percentiles. The unweighted median trends would be very similar to those shown here, but with narrower inter-percentile ranges, in particular for the intermediate-SSFR sub-sample.
Current usage metrics show cumulative count of Article Views (full-text article views including HTML views, PDF and ePub downloads, according to the available data) and Abstracts Views on Vision4Press platform.
Data correspond to usage on the plateform after 2015. The current usage metrics is available 48-96 hours after online publication and is updated daily on week days.
Initial download of the metrics may take a while.