Fig. 7.

Download original image
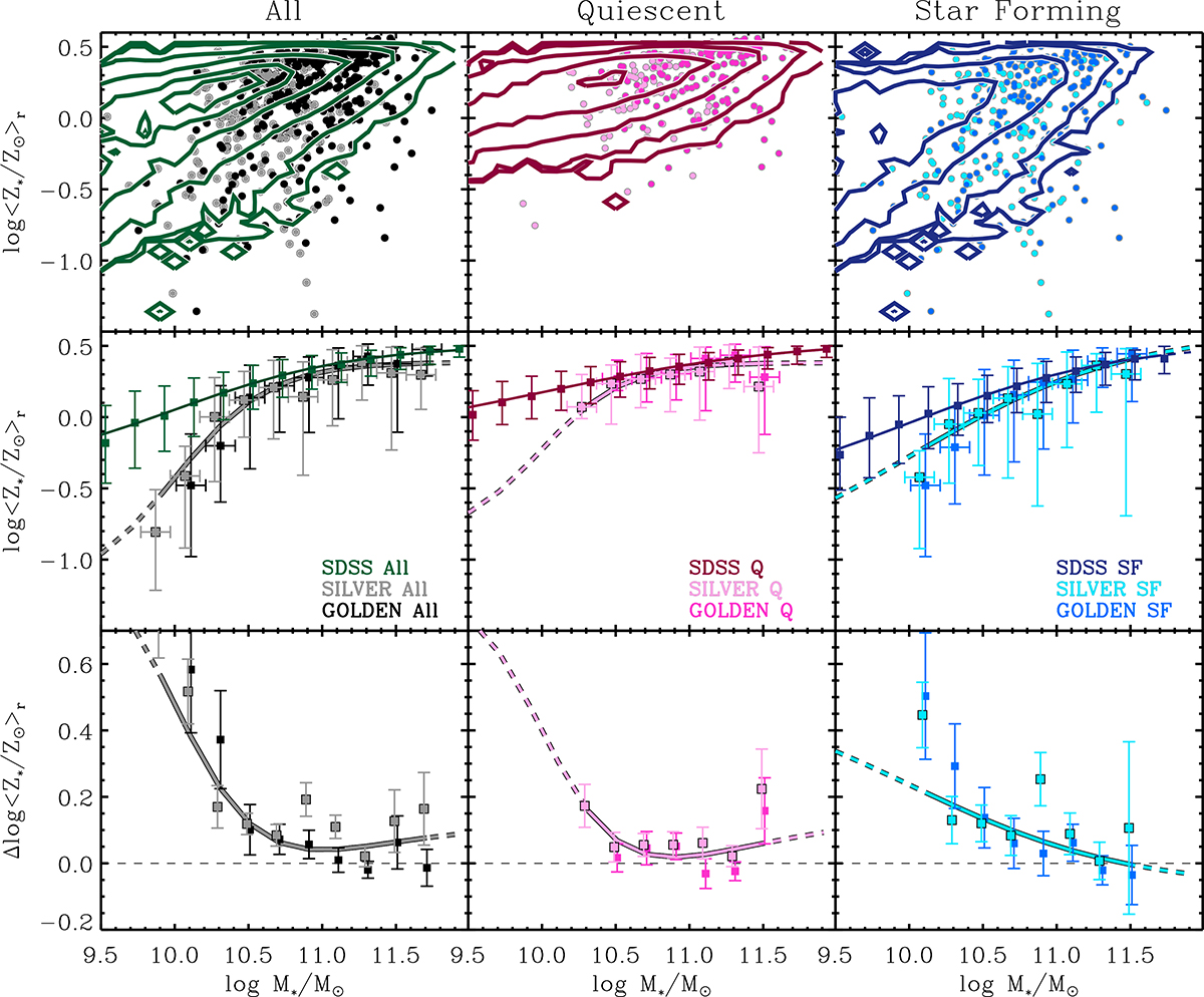
Comparison of the light-weighted stellar metallicity vs. stellar mass relation for LEGA-C and SDSS galaxy samples for the whole population (left panels) and for Q and SF galaxies separately (middle and right panels, respectively). Symbols, colours, and contours have the same meaning as in Fig. 5. The SDSS sample is restricted to S/N > 20 galaxies, weights are applied to correct for volume and spectroscopic completeness and the data are corrected for aperture effects. The bottom row shows the difference in (log) stellar metallicity between SDSS and LEGA-C median trends with error bars computed propagating the error on the medians. The dashed line at a difference equal to zero is drawn to guide the eye.
Current usage metrics show cumulative count of Article Views (full-text article views including HTML views, PDF and ePub downloads, according to the available data) and Abstracts Views on Vision4Press platform.
Data correspond to usage on the plateform after 2015. The current usage metrics is available 48-96 hours after online publication and is updated daily on week days.
Initial download of the metrics may take a while.