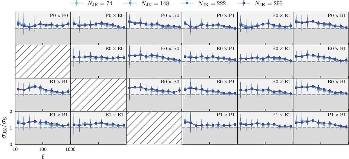
Fig. B.2.

Download original image
The standard deviation for jackknife estimates of the covariance σJK is plotted as a function of the number of jackknife samples NJK in comparison to the sample covariance standard deviation σS. The lines and error bars represent the mean and spread across ten realisations. The number of jackknife samples does not appear to be changing the estimates of the diagonal components of the jackknife covariance.
Current usage metrics show cumulative count of Article Views (full-text article views including HTML views, PDF and ePub downloads, according to the available data) and Abstracts Views on Vision4Press platform.
Data correspond to usage on the plateform after 2015. The current usage metrics is available 48-96 hours after online publication and is updated daily on week days.
Initial download of the metrics may take a while.