Fig. D.1.

Download original image
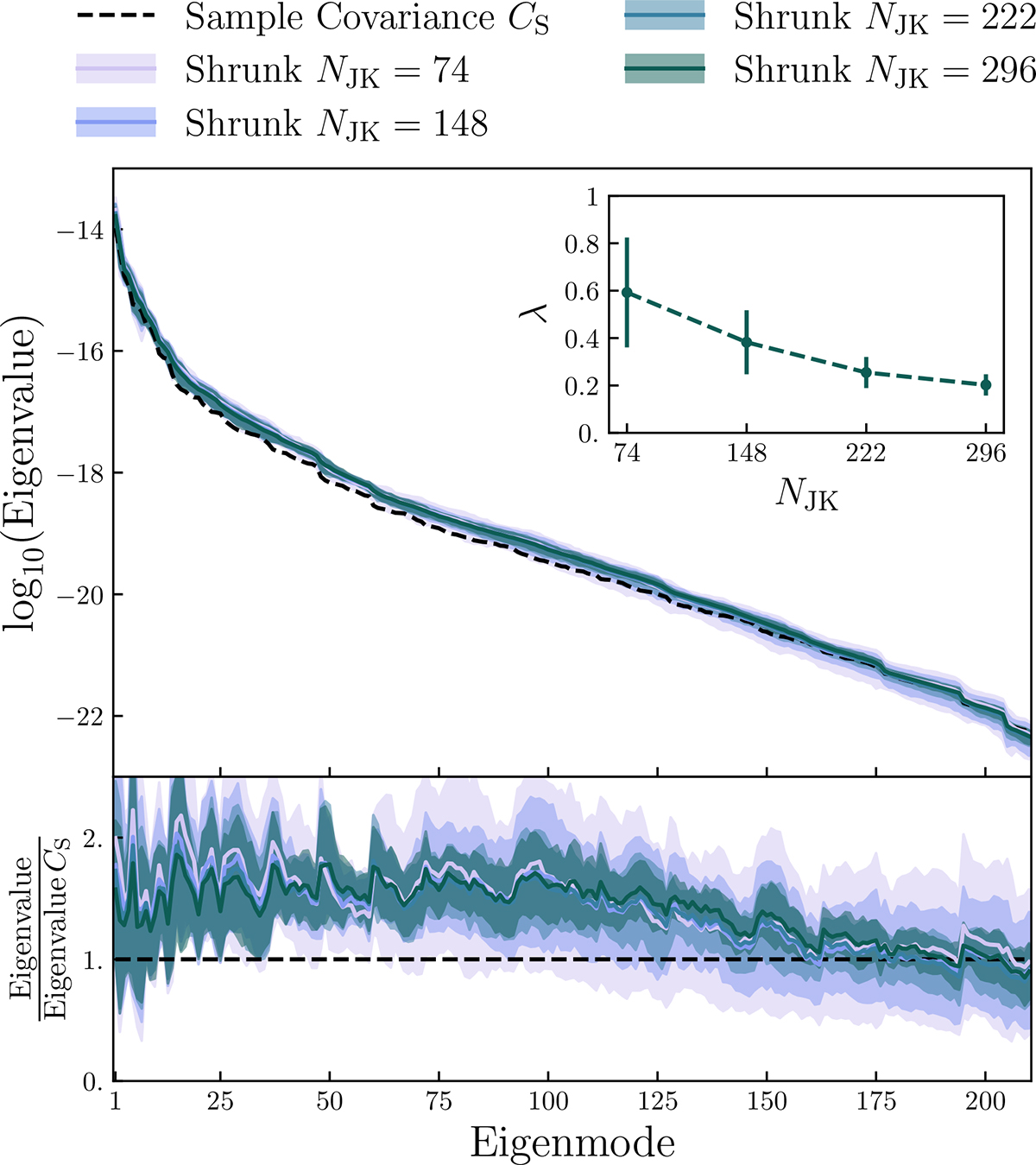
The eigenspectrum for linear shrinkage as a function of NJK is compared to the eigenspectrum of the sample covariance (black dashed line). In the bottom subplot we show the ratio with respect to the sample covariance. The solid lines represents the mean and the envelopes the spread (i.e. 95% confidence interval) from ten realisations. In the inset subplot we show the mean and standard deviation for the scalar shrinkage intensity λ as a function of NJK, showing that increasing NJK leads to a smaller (non-zero) and better constrained λ. This more constrained λ leads to a more precise covariance, for instance the eigenspectrum shows less spread between realisations.
Current usage metrics show cumulative count of Article Views (full-text article views including HTML views, PDF and ePub downloads, according to the available data) and Abstracts Views on Vision4Press platform.
Data correspond to usage on the plateform after 2015. The current usage metrics is available 48-96 hours after online publication and is updated daily on week days.
Initial download of the metrics may take a while.