Open Access
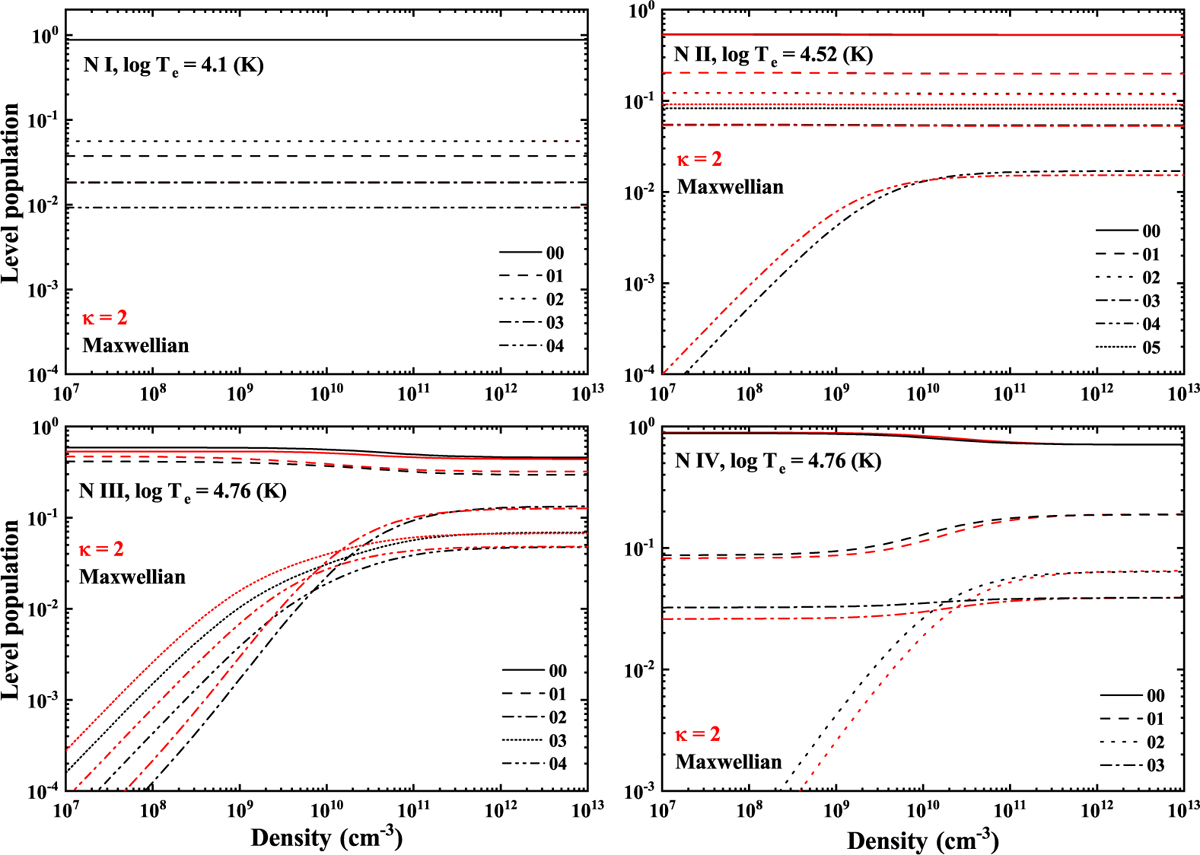
Fig. 2

Download original image
Level populations of N I, N II, N III, and N IV as a function of electron density. The numbers 00, 01, 02, etc., refer to the energy levels listed in Table 2. Different colors represent different electron energy distributions.
Current usage metrics show cumulative count of Article Views (full-text article views including HTML views, PDF and ePub downloads, according to the available data) and Abstracts Views on Vision4Press platform.
Data correspond to usage on the plateform after 2015. The current usage metrics is available 48-96 hours after online publication and is updated daily on week days.
Initial download of the metrics may take a while.