Open Access

Fig. 9.

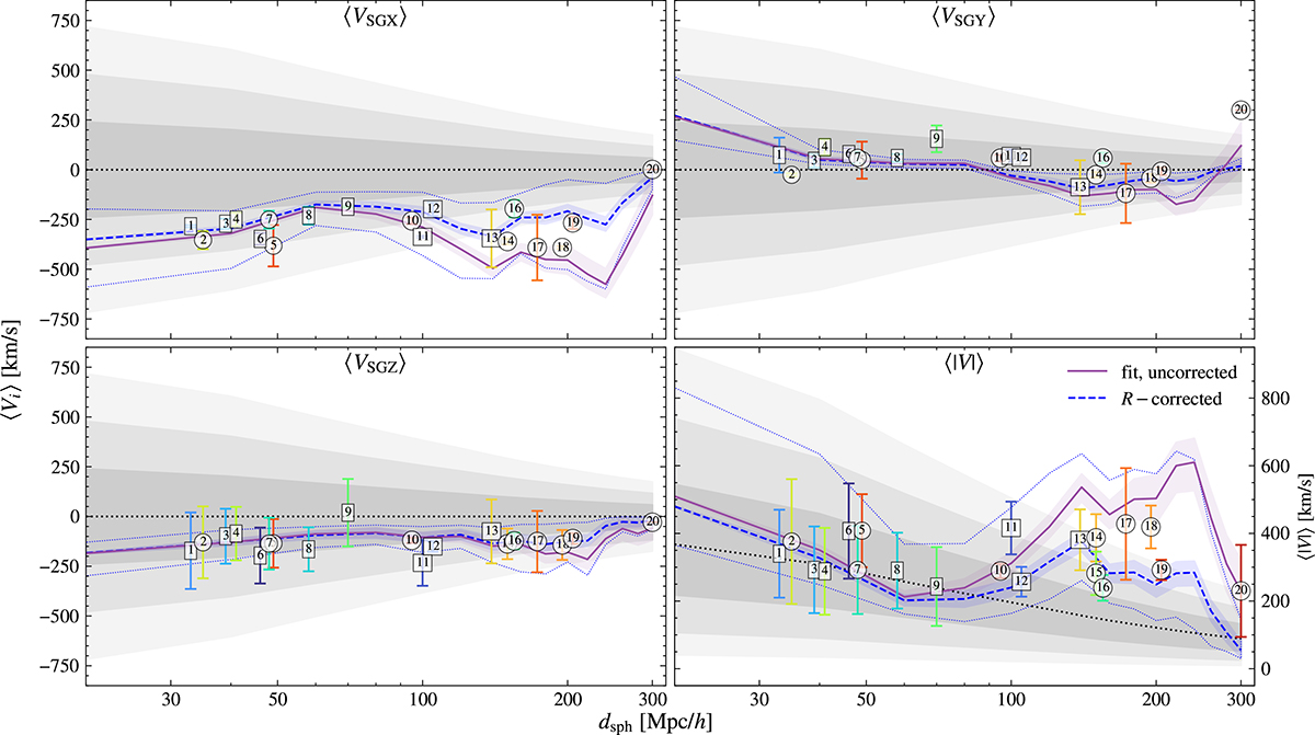
Fig. 9. Refer to the following caption and surrounding text.

Download original image

Bulk flow of the CF4 catalog, given H0 = 75.9 km/s/Mpc. The purple solid line shows the direct application of our method with its 1σ uncertainty band, and the dashed blue line shows the R-corrected results presented in Section 4.3. The color shaded region corresponds to the uncertainty stemming from the forward model while the dotted blue lines delimit the corridor of the uncertainty coming from the R correction described in Eq. (13). Other reported values of the bulk flow are denoted by numbers referring to Table 2, with values derived from the Cosmicflows series shown as circles and those from other surveys shown as squares. The radius for some literature values is approximate for illustrative purposes; the exact values are provided in Table 2.

Current usage metrics show cumulative count of Article Views (full-text article views including HTML views, PDF and ePub downloads, according to the available data) and Abstracts Views on Vision4Press platform.

Data correspond to usage on the plateform after 2015. The current usage metrics is available 48-96 hours after online publication and is updated daily on week days.

Initial download of the metrics may take a while.