Fig. 1

Download original image
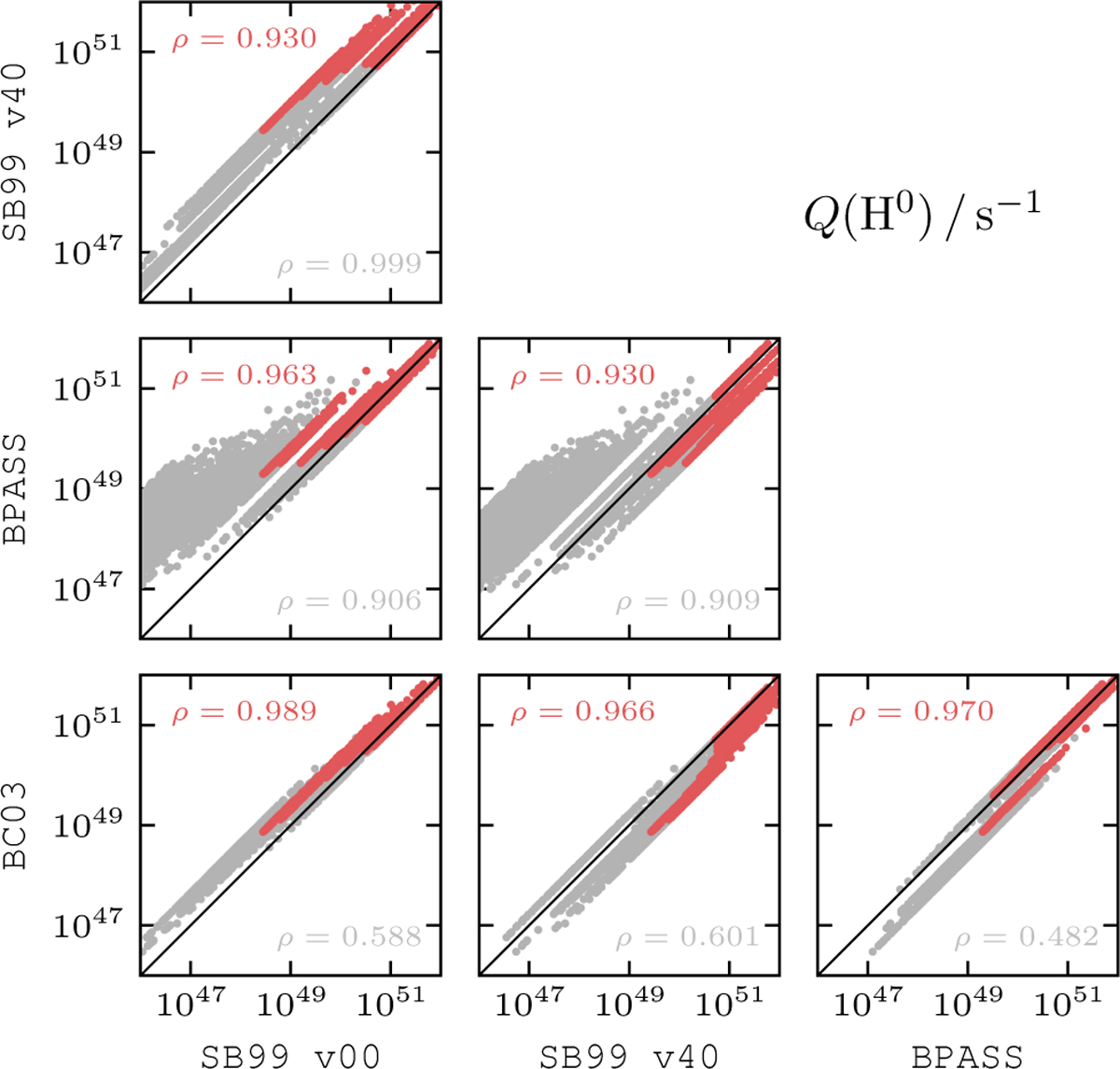
Comparison of different population synthesis models. We use a sample with random ages and masses and compute the ionising photon flux Q(H0) with BC03, SB99, and BPASS. The grey points represent the full sample, while the red points indicate a young and massive sub-sample (age ≤ 8 Myr and mass > 104 M⊙). The Spearman correlation coefficient ρ indicates good agreement between the different models across the robust subsamples, and all correlations are statistically significant (p-values < 0.05).
Current usage metrics show cumulative count of Article Views (full-text article views including HTML views, PDF and ePub downloads, according to the available data) and Abstracts Views on Vision4Press platform.
Data correspond to usage on the plateform after 2015. The current usage metrics is available 48-96 hours after online publication and is updated daily on week days.
Initial download of the metrics may take a while.