Open Access
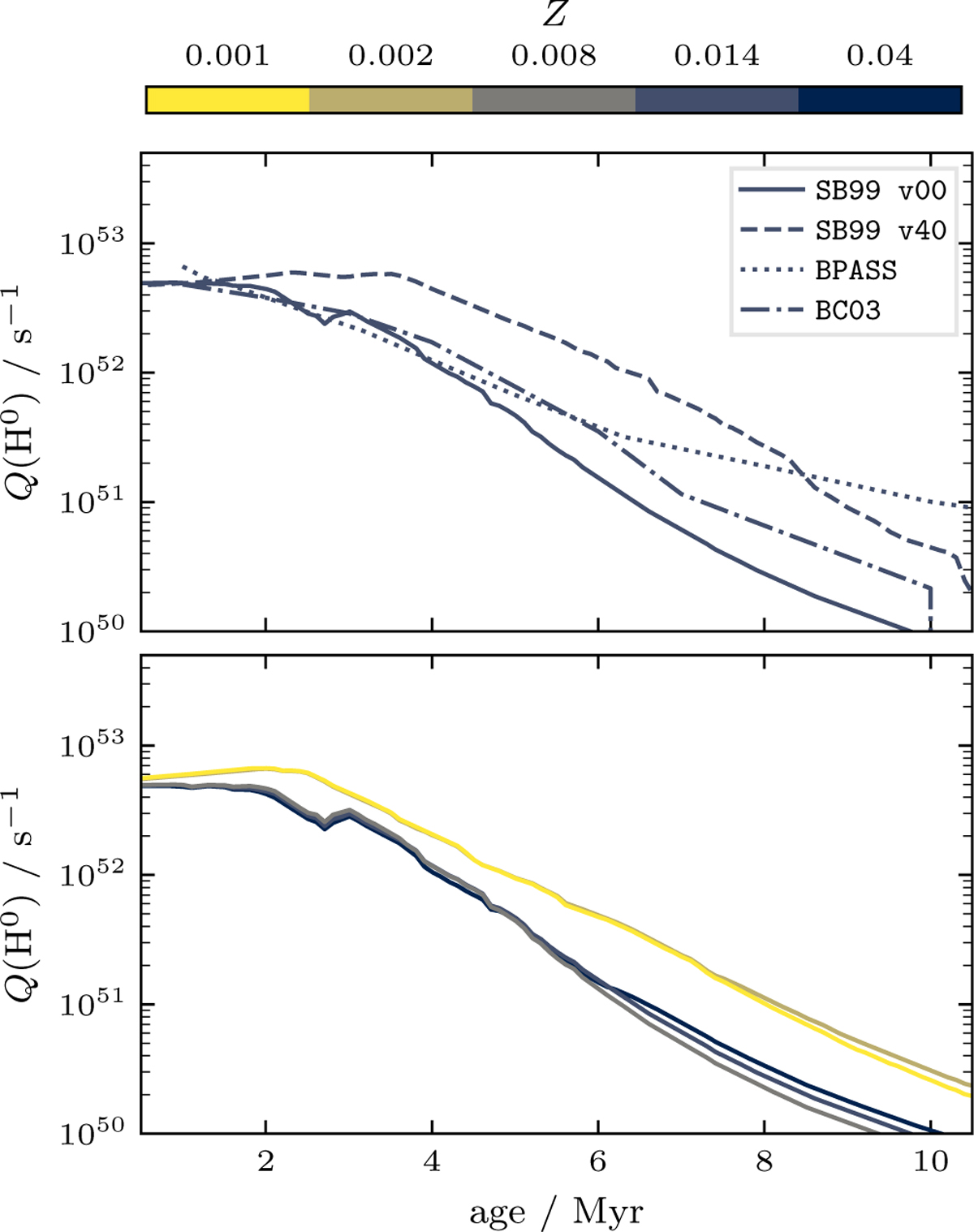
Fig. A.1

Download original image
Ionising photon flux Q(H0) of a star cluster with a mass of 106 M⊙ as a function of age. The top panel shows the values predicted by different models, all at solar metallicity, while the lower panel shows the SB99 v00 model at various metallicities.
Current usage metrics show cumulative count of Article Views (full-text article views including HTML views, PDF and ePub downloads, according to the available data) and Abstracts Views on Vision4Press platform.
Data correspond to usage on the plateform after 2015. The current usage metrics is available 48-96 hours after online publication and is updated daily on week days.
Initial download of the metrics may take a while.