Open Access

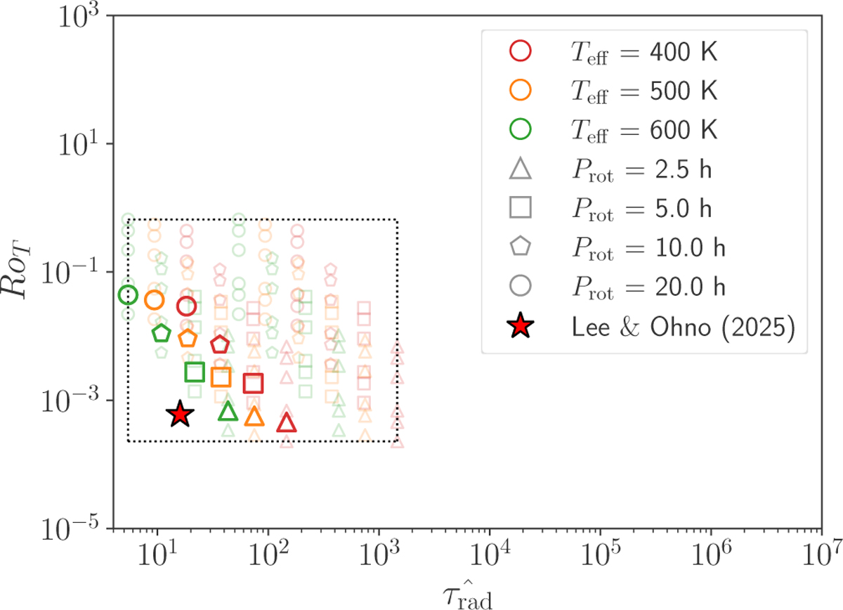
Fig. 1

Fig. 1 Refer to the following caption and surrounding text.

Download original image

Summary of our calculations, presented in Section 2.1. Highlighted are the cases with gravity log g = 4.5, a wave-driving efficiency of η = 10−3 and a vertical scale of Δz˜=2Mathematical equation: $\Delta \tilde z = 2$ at the approximate photosphere level pphotosphere = 0.1 bar. Other possible combinations are overplotted in fainter colors to illustrate the complete space spanned by the range of values considered in this study. Dotted lines mark the edges of minimum and maximum values. The red star corresponds to (Teff = 400 K; Prot = 10 h; log g = 4.46) and is from a recent GCM study, included as a reference point.

Current usage metrics show cumulative count of Article Views (full-text article views including HTML views, PDF and ePub downloads, according to the available data) and Abstracts Views on Vision4Press platform.

Data correspond to usage on the plateform after 2015. The current usage metrics is available 48-96 hours after online publication and is updated daily on week days.

Initial download of the metrics may take a while.