Open Access

Fig. C.2

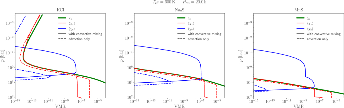
Fig. C.2 Refer to the following caption and surrounding text.

Download original image

Globally averaged vertical profiles of vapor (red) and condensate (blue) VMRs, together with the saturation vapor VMR (green), for KCl, Na2S, and MnS (left to right) in the Teff = 600 K and Prot = 20 h case at trun = 1000 d averaged over the final 10 days. Solid curves show the fiducial model including convective mixing; dashed curves show an advection-only variant with convective diffusion omitted.

Current usage metrics show cumulative count of Article Views (full-text article views including HTML views, PDF and ePub downloads, according to the available data) and Abstracts Views on Vision4Press platform.

Data correspond to usage on the plateform after 2015. The current usage metrics is available 48-96 hours after online publication and is updated daily on week days.

Initial download of the metrics may take a while.