Open Access

Fig. C.2.

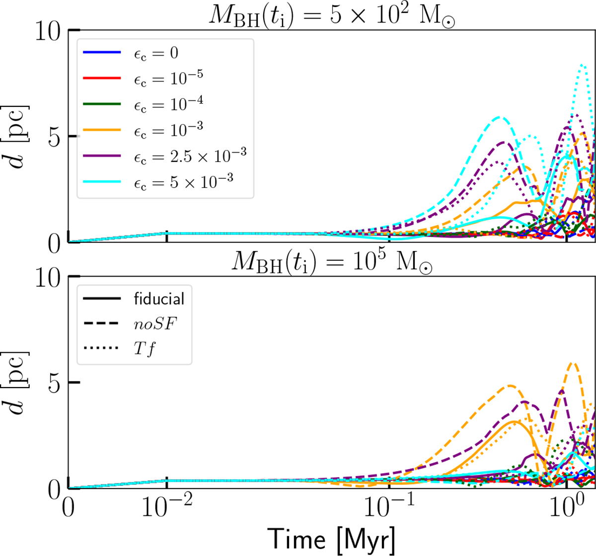
Fig. C.2. Refer to the following caption and surrounding text.

Download original image

Evolution of the distance from the galactic centre for the suite of runs with initial BH masses MBH(ti) = 5 × 102 M (top panel) and MBH(ti) = 105 M (bottom panel). Solid lines refer to our fiducial simulations, dashed lines indicate the noSF runs (without SF), and dotted lines correspond to the runs with both SF suppressed and an increased temperature floor (Tf).

Current usage metrics show cumulative count of Article Views (full-text article views including HTML views, PDF and ePub downloads, according to the available data) and Abstracts Views on Vision4Press platform.

Data correspond to usage on the plateform after 2015. The current usage metrics is available 48-96 hours after online publication and is updated daily on week days.

Initial download of the metrics may take a while.